Vui lòng chỉ chọn một câu hỏi
Hoidap247.com Nhanh chóng, chính xác
+
Danh mục mới
0
-8
Hãy luôn nhớ cảm ơn và vote 5* nếu câu trả lời hữu ích nhé!
1077
31345
1770
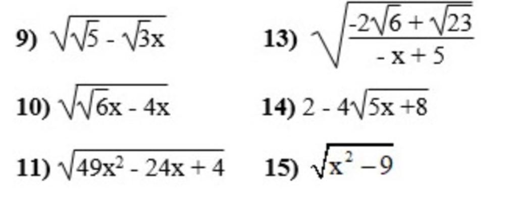
Đáp án+Giải thích các bước giải:
Hãy giúp mọi người biết câu trả lời này thế nào?
Xem thêm:
Bảng tin
Gửi yêu cầu Hủy