

Hãy luôn nhớ cảm ơn và vote 5*
nếu câu trả lời hữu ích nhé!
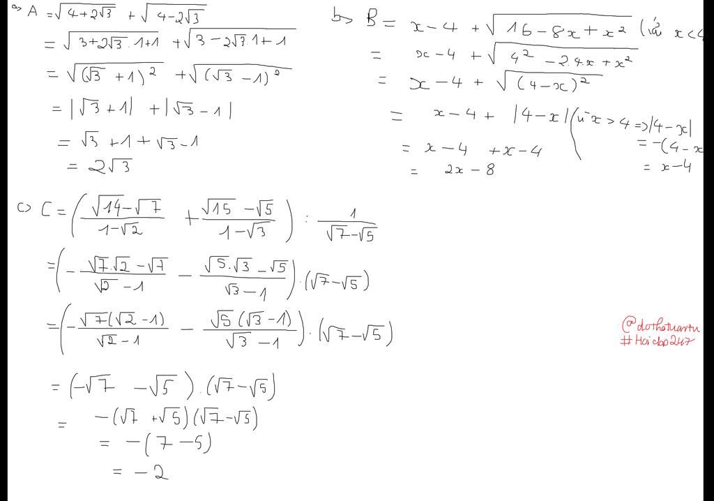
`a)`
`A=\sqrt{4+2\sqrt{3}}+\sqrt{4-2\sqrt{3}}`
`=\sqrt{(\sqrt{3})^2+2.\sqrt{3}.1+1^2}+\sqrt{(\sqrt{3})^2-2.\sqrt{3}.1+1^2}`
`=\sqrt{(\sqrt{3}+1)^2}+\sqrt{(\sqrt{3}-1)^2}`
`=|\sqrt{3}+1|+|\sqrt{3}-1|`
`=\sqrt{3}+1+\sqrt{3}-1`
`=(\sqrt{3}+\sqrt{3})+(1-1)`
`=2\sqrt{3}`
`b)` `B=x-4+\sqrt{16-8x+x^2}` Với `x>4`
`=x-4+\sqrt{4^2-2.4.x+x^2}`
`=x-4+\sqrt{(4-x)^2}`
`=x-4+|4-x|`
`=x-4+x-4` ( Vì `x>4` )
`=(x+x)+(-4-4)`
`=2x-8`
`c)` `C=((\sqrt{14}-\sqrt{7})/(1-\sqrt{2})+(\sqrt{15}-\sqrt{5})/(1-\sqrt{3})):1/(\sqrt{7}-\sqrt{5})`
`=[(\sqrt{7}.(\sqrt{2}-1))/(1-\sqrt{2})+(\sqrt{5}.(\sqrt{3}-1))/(1-\sqrt{3})].(\sqrt{7}-\sqrt{5})`
`=[(-\sqrt{7}.(1-\sqrt{2}))/(1-\sqrt{2})-(\sqrt{5}.(1-\sqrt{3}))/(1-\sqrt{3})].(\sqrt{7}-\sqrt{5})`
`=-[(\sqrt{7}+\sqrt{5}).(\sqrt{7}-\sqrt{5})]`
`=-[(\sqrt{7})^2-(\sqrt{5})^2]`
`=-(7-5)`
`=-2`
Hãy giúp mọi người biết câu trả lời này thế nào?
Bảng tin