

Hãy luôn nhớ cảm ơn và vote 5*
nếu câu trả lời hữu ích nhé!
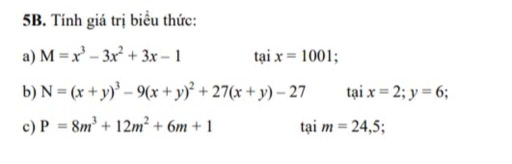
a) Ta có:
`M=x^3 - 3x^2 + 3x - 1`
`= (x-1)^3`
Tại `x=1001`, ta có:
`M= (1001-1)^3`
`= 1000^3`
`= 1000000000`
Vậy tại `x=1001` thì `M=1000 000 000`
____________________________________
b) Ta có:
`N=(x+y)^3 -9(x+y)^2 +27(x+y)-27`
`= [(x+y)-3]^3`
Tại `x=2 ; y= 6`, ta có:
`N=[(2+6)-3]^3`
`= (8-3)^3`
`= 5^3`
`= 125`
Vậy tại `x=2 ; y=6` thì `M=125`
__________________________________________
c) Ta có:
`P=8m^3 + 12m^2 + 6m + 1`
`= (2m+1)^3`
Tại `m=24,5` ; ta có:
`P=(2.24,5+1)^3`
`= (49+1)^3`
`= 50^3`
`= 125000`
Vậy tại `m=24,5` thì `P=125000`
Hãy giúp mọi người biết câu trả lời này thế nào?

Bảng tin