

Hãy luôn nhớ cảm ơn và vote 5*
nếu câu trả lời hữu ích nhé!
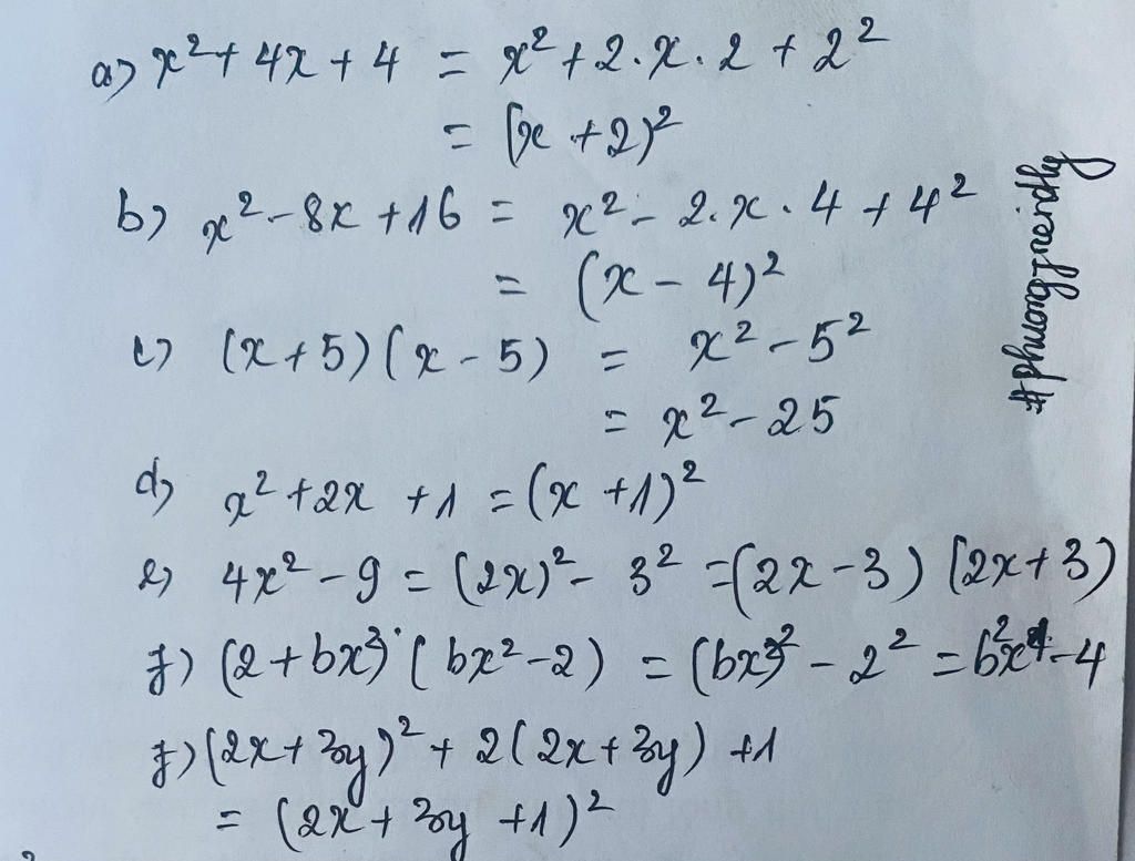
Đáp án:
`a)` `(x+2)^2`
`b)` `(x-4)^2`
`c)` `x^2-25`
`d)` `(x+1)^2`
`e)` `(2x-3)(2x+3)`
`f_1)` `b^2x^4-4`
`f_2)` `(2x+3y+1)^2`
Giải thích các bước giải:
`a)`
`x^2+4x+4`
`= x^2+2. x. 2+2^2`
`= (x+2)^2`
Vậy cần điền vào chỗ trống là: `(x+2)^2`
Áp dụng: `(a+b)^2 = a^2+2ab+b^2`
`b)`
`x^2-8x+16`
`= x^2-2. x. 4+4^2`
`= (x-4)^2`
Vậy cần điền vào chỗ trống là: `(x-4)^2`
Áp dụng: `(a-b)^2 = a^2-2ab+b^2`
`c)`
`(x+5)(x-5)`
`= x^2-5^2`
`= x^2-25`
Vậy cần điền vào chỗ trống là: `x^2-25`
Áp dụng: `a^2-b^2 = (a-b)(a+b)`
`d)`
`x^2+2x+1`
`= x^2+2. x. 1+1^2`
`= (x+1)^2`
Vậy cần điền vào chỗ trống là: `(x+1)^2`
Áp dụng: `(a+b)^2 = a^2+2ab+b^2`
`e)`
`4x^2-9`
`= (2x)^2-3^2`
`= (2x-3)(2x+3)`
Vậy cần điền vào chỗ trống là: `(2x-3)(2x+3)`
Áp dụng: `a^2-b^2 = (a-b)(a+b)`
`f_1)`
`(2+bx^2)(bx^2-2)`
`= (bx^2+2)(bx^2-2)`
`= (bx^2)^2-2^2`
`= b^2x^4-4`
Vậy cần điền vào chỗ trống là: `b^2x^4-4`
Áp dụng: `a^2-b^2 = (a-b)(a+b)`
`f_2)`
`(2x+3y)^2+2(2x+3y)+1`
`= (2x+3y)^2+2. (2x+3y). 1+1^2`
`= (2x+3y+1)^2`
Vậy cần điền vào chỗ trống là: `(2x+3y+1)^2`
Áp dụng: `(a+b)^2 = a^2+2ab+b^2`
Hãy giúp mọi người biết câu trả lời này thế nào?
![]()
Bảng tin
11995
226080
11881
Bn chưa rõ hay cần giải thích chỗ nào nhắn mik nhé
8
402
3
Cảm ơn bặn
8
402
3
Bạn
11995
226080
11881
Kcj nha