

Hãy luôn nhớ cảm ơn và vote 5*
nếu câu trả lời hữu ích nhé!
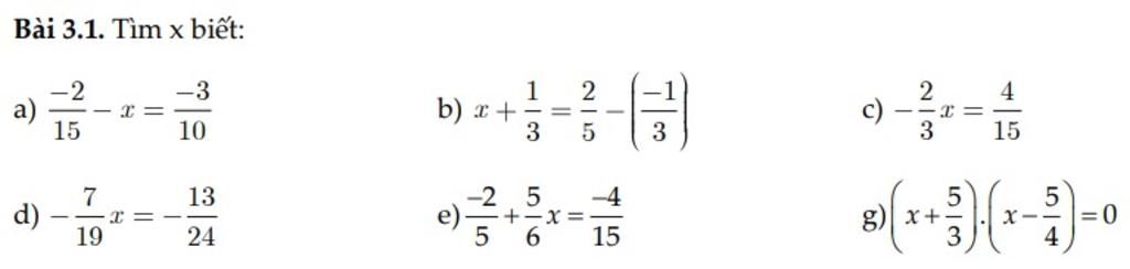
`a,`
`{-2}/15 - x= {-3}/10`
`⇒ x = {-2}/15 - {-3}/10`
`⇒ x = {-4}/30 + 9/30`
`⇒ x = 1/6`
Vậy `x = 1/6`
`b,`
`x + 1/3 = 2/5 - ({-1}/3)`
`⇒ x + 1/3 = 2/5 + 1/3`
`⇒ x = 2/5 + 1/3 - 1/3`
`⇒ x = 2/5`
Vậy `x = 2/5`
`c,`
`-2/3 x = 4/15`
`⇒ x = 4/15 : ( -2/3 )`
`⇒ x = 4/15 . ( -3/2 )`
`⇒ x = -2/5`
Vậy `x = -2/5`
`d,`
`-7/19 x = -13/24`
`⇒ x = (-13/24) : ( -7/19 )`
`⇒ x = ( -13/24 ) . ( -19/7 )`
`⇒ x = 247/168`
Vậy `x = 247/168`
`e,`
`{-2}/5 + 5/6 x = {-4}/15`
`⇒ 5/6 x = {-4}/15 - {-2}/5`
`⇒ 5/6 x = {-4}/15 + 6/15`
`⇒ 5/6 x = 2/15`
`⇒ x = 2/15 : 5/6`
`⇒ x = 2/15 . 6/5`
`⇒ x = 4/25`
Vậy `x = 4/25`
`g,`
`( x + 5/3 ) . ( x - 5/4 ) = 0`
`⇒ @ TH1: x + 5/3 = 0 ⇒ x = -5/3`
`⇒ @ TH2: x - 5/4 = 0 ⇒ x = 5/4`
Vậy `x ∈ { -5/3 ; 5/4 }`
Hãy giúp mọi người biết câu trả lời này thế nào?
Đáp án:
Giải thích các bước giải:
`a`)
`-2/15-x=-3/10`
`x=-2/15-(-3/10)`
`x=1/6`
Vậy `x=1/6`
---------------------
`b`)
`x+1/3=2/5-(-1/3)`
`x+1/3=2/5+1/3`
`x+1/3=11/15`
`x=11/15-1/3`
`x=2/5`
Vậy `x=2/5`
------------------
`c`)
`-2/3x-4/15`
`x=4/15:(-2/3)`
`x=4/15xx(-3/2)`
`x=-2/5`
Vậy `x=-2/5`
-----------------
`d`)
`-7/19x=-13/24`
`x=-13/24:(-7/19)`
`x=-13/24xx(-19/7)`
`x=247/168`
Vậy `x=247/168`
------------------
`e`)
`-2/5+5/6x=-4/15`
`5/6x=-4/15-(-2/5)`
`5/6x=2/15`
`x=2/15:5/6`
`x=2/15xx6/5`
`x=4/25`
Vậy `x=4/25`
---------------------
`g`)
`(x+5/3)(x-5/4)=0`
Ta có `2` TH là `x+5/3=0` hoặc `x-5/4=0`
`@` TH `1`:
`x+5/3=0`
`x=0-5/3`
`x=-5/3`
`@` TH `2`:
`x-5/4=0`
`x=0+5/4`
`x=5/4`
Vậy `x=-5/3` hoặc `x=5/4`
Hãy giúp mọi người biết câu trả lời này thế nào?
Bảng tin