

Hãy luôn nhớ cảm ơn và vote 5*
nếu câu trả lời hữu ích nhé!
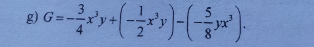
Đáp án:
$G = -\dfrac34 x^3y + \left(-\dfrac12 x^3y\right)-\left(-\dfrac58 yx^3\right)$
$G = -\dfrac34 x^3y + \left(-\dfrac12 x^3y\right)-\left(-\dfrac58 x^3y\right)$
$G = -\dfrac34 x^3y -\dfrac12 x^3y+\dfrac58 x^3y$
$G = \left(-\dfrac34 - \dfrac12 + \dfrac58\right)x^3y$
$G = \left(-\dfrac68 - \dfrac48 + \dfrac58\right)x^3y$
$G = \dfrac{-5}{8}x^3y$
Hãy giúp mọi người biết câu trả lời này thế nào?
![]()
`g)` `G=-3/4 x^3y+(-1/2 x^3y) - (-5/8 yx^3)`
`=-3/4 x^3y -1/2 x^3y + 5/8 x^3y`
`=x^3y ( -3/4 - 1/2 +5/8)`
`=x^3y ( -6/8 - 4/8 +5/8)`
`=x^3y (-6-4+5)/8`
`=-5/8 x^3y`
$#nhattan526$
Hãy giúp mọi người biết câu trả lời này thế nào?
![]()
Bảng tin
2820
2829
2453
Haizzz....