

Hãy luôn nhớ cảm ơn và vote 5*
nếu câu trả lời hữu ích nhé!
Đáp án:
`a)` `x∈{±\sqrt3}` `b)` `x∈{0; 1/2}` `c)` `x∈{1; 4}`
Giải thích các bước giải:
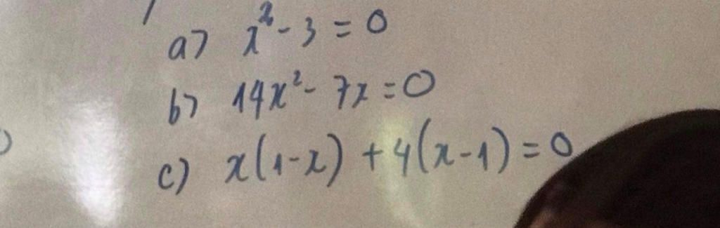
`a)` `x^2-3=0`
`⇒(x-\sqrt(3))(x+\sqrt(3))=0`
`⇒`\(\left[ \begin{array}{l}x-\sqrt3=0\\x+\sqrt3=0\end{array} \right.\) `⇒`\(\left[ \begin{array}{l}x=\sqrt3\\x=-\sqrt3\end{array} \right.\)
Vậy `x∈{±\sqrt3}`
`b)` `14x^2-7x=0`
`⇒7x(2x-1)=0`
`⇒`\(\left[ \begin{array}{l}x=0\\2x-1=0\end{array} \right.\) `⇒`\(\left[ \begin{array}{l}x=0\\x=\dfrac{1}{2}\end{array} \right.\)
Vậy `x∈{0; 1/2}`
`c)` `x(1-x)+4(x-1)=0`
`⇒x(1-x)-4(1-x)=0`
`⇒(1-x)(x-4)=0`
`⇒`\(\left[ \begin{array}{l}1-x=0\\x-4=0\end{array} \right.\) `⇒`\(\left[ \begin{array}{l}x=1\\x=4\end{array} \right.\)
Vậy `x∈{1; 4}`
Hãy giúp mọi người biết câu trả lời này thế nào?
Bảng tin