Vui lòng chỉ chọn một câu hỏi
Hoidap247.com Nhanh chóng, chính xác
+
Danh mục mới
0
852
Hãy luôn nhớ cảm ơn và vote 5* nếu câu trả lời hữu ích nhé!
6655
137658
10088
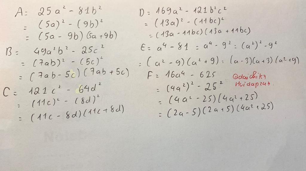
Đáp án:
Hãy giúp mọi người biết câu trả lời này thế nào?
5218
234
7273
Đáp án+Giải thích các bước giải:
Bảng tin
Gửi yêu cầu Hủy