

Hãy luôn nhớ cảm ơn và vote 5*
nếu câu trả lời hữu ích nhé!
Đáp án+Giải thích các bước giải:
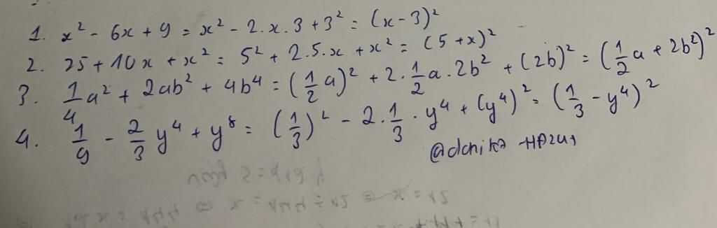
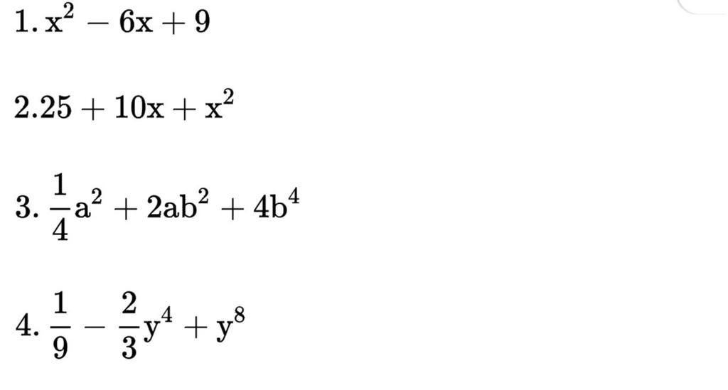
`1)`
`x^2-6x+9`
`=x^2-2.x.3+3^2`
`=(x-3)^2`
`->` Hằng đẳng thức số `2`
`2)`
`25+10x+x^2`
`=5^2+2.5.x+x^2`
`=(5+x)^2`
`->` Hằng đẳng thức số `1`
`3)`
`1/4a^2+2ab^2+4b^4`
`=(1/2a)^2+2. 1/2a .2b^2+(2b^2)^2`
`=(1/2a+2b^2)^2`
`->` Hằng đẳng thức số `1`
`4)`
`1/9-2/3y^4+y^8`
`=(1/3)^2-2. 1/3 .y^4+(y^4)^2`
`=(1/3-y^4)^2`
`->` Hằng đẳng thức số `2`
-------------------------
`bb(1.)quad(A+B)^2=A^2+2AB+B^2`
`bb(2.)quad(A-B)^2=A^2-2AB+B^2`
`#ld`
Hãy giúp mọi người biết câu trả lời này thế nào?

Bảng tin