

Hãy luôn nhớ cảm ơn và vote 5*
nếu câu trả lời hữu ích nhé!
Đáp án:`+`Giải thích các bước giải:
`a,`
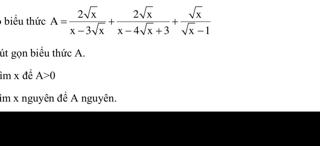
`A=(2\sqrt{x})/(x-3\sqrt{x})+(2\sqrt{x})/(x-4\sqrt{x}+3)+\sqrt{x}/(\sqrt{x}-1)` với `x>=0;x` `ne` `1` `;` `x ne 9`
`=(2\sqrt{x})/(\sqrt{x}(\sqrt{x}-3))+(2\sqrt{x})/((\sqrt{x}-1)(\sqrt{x}-3))+\sqrt{x}/(\sqrt{x}-1)`
`=2/(\sqrt{x}-3)+(2\sqrt{x})/((\sqrt{x}-1)(\sqrt{x}-3))+\sqrt{x}/(\sqrt{x}-1)`
`=(2(\sqrt{x}-1)+2\sqrt{x}+\sqrt{x}(\sqrt{x}-3))/((\sqrt{x}-1)(\sqrt{x}-3))`
`=(2\sqrt{x}-2+2\sqrt{x}+x-3\sqrt{x})/((\sqrt{x}-1)(\sqrt{x}-3))`
`=(x+\sqrt{x}-2)/((\sqrt{x}-1)(\sqrt{x}-3))`
`=((\sqrt{x}-1)(\sqrt{x}+2))/((\sqrt{x}-1)(\sqrt{x}-3))`
`=(\sqrtx+2)/(\sqrtx-3)`
Vậy `A=(\sqrt{x}+2)/(\sqrt{x}-3)` với `x>=0;x` `ne` `1` `;` `x ne 9`
`b,` Để `A>0`
Nên `(\sqrt{x}+2)/(\sqrt{x}-3)>0`
TH1:
`<=>` `{(\sqrt{x}+2>0),(\sqrt{x}-3>0):}`
`<=>` `{(\sqrt{x}> -2),(\sqrt{x}>3):}`
`<=>` `{(\sqrt{x}> -2(vô lí)),(x>9):}`
TH2:
`<=>` `{(\sqrt{x}+2<0),(\sqrt{x}-3<0):}`
`<=>` `{(\sqrt{x}<-2),(\sqrt{x}<3):}`
`<=>` `{(\sqrt{x}<-2),(x<9):}` (vô lí)
Vậy `x>9` khi `A>0`
`c,`
`A=(\sqrt{x}+2)/(\sqrt{x}-3)`
`=(\sqrt{x}-3+5)/(\sqrt{x}-3)`
`=(\sqrt{x}-3)/(\sqrt{x}-3)+5/(\sqrt{x}-3)`
`=1+5/(\sqrt{x}-3)`
Để `A in ZZ<=>\sqrt{x}-3 in Ư(5)={+-1;+-5}`
`=>\sqrt{x} in {4;2;8;-2}`
`=>` `x` `in` `{16;4;64}`
Hãy giúp mọi người biết câu trả lời này thế nào?
Bảng tin