

Hãy luôn nhớ cảm ơn và vote 5*
nếu câu trả lời hữu ích nhé!
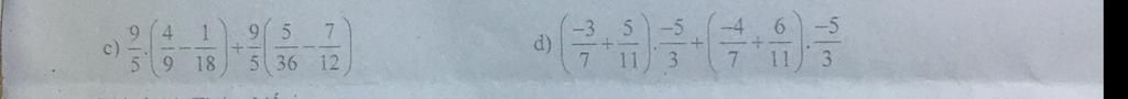
`c) 9/5 . ( 4/9 - 1/18 ) + 9/5( 5/36 - 7/12 )`
`= 9/5 . ( 8/18 - 1/18 ) + 9/5 . ( 5/36 - 21/36 )`
`= 9/5 . 7/18 + 9/5 . ( -4/9 )`
`= 9/5 . ( 7/18 - 4/9 )`
`= 9/5 . ( -1/18 )`
`= -1/10`
`d) ( -3/7 + 5/11 ) . ( -5/3 ) + ( -4/7 + 6/11 ) . ( -5/3 )`
`= -5/3 . ( -3/7 + 5/11 - 4/7 + 6/11 )`
`= -5/3 . 0`
`= 0`
Hãy giúp mọi người biết câu trả lời này thế nào?
`c) 9/5 .(4/9-1/18)+9/5 .(5/36-7/12)`
`=9/5 . 7/18+9/5 .(-4/9)`
`=9/5 .(7/18-4/9)`
`=9/5 .(-1)/18`
`=-1/10`
`d) ((-3)/7+5/11). (-5)/3+((-4)/7+6/11). (-5)/3`
`=((-3)/7+5/11+(-4)/7+6/11).(-5)/3`
`=(-1+1).(-5)/3`
`=0.(-5)/3`
`=0`
Hãy giúp mọi người biết câu trả lời này thế nào?
Bảng tin
0
782
0
trl câu hỏi cho mik vs
0
782
0
trong trang cá nhân á