

Hãy luôn nhớ cảm ơn và vote 5*
nếu câu trả lời hữu ích nhé!
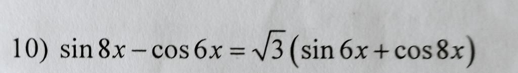
Đáp án và giải thích các bước giải:
`<=>` `sin8x- \sqrt[3]cos8x = \sqrt[3]sin6x + cos6x`
`<=>` `1/2 sin8x- \sqrt[3]/2 cos8x = \sqrt[3]/2 sin6x+ 1/2 cos6x`
`<=>` `cos``{\pi}/{3}``sin8x-sin``{\pi}/{3}``cos8x=cos``{\pi}/{6}``sin6x+sin``{\pi}/{6}``cos6x`
`<=>` `sin(8x-\pi/3) = sin(6x+\pi/6)`
`<=>` \(\left[ \begin{array}{l}8x - \dfrac{\pi}{3} = 6x + \dfrac{\pi}{6} + 2k \pi\\8x−\dfrac{\pi}{3}=π−6x−\dfrac{\pi}{6}+2kπ\end{array} \right.\)
`<=>` \(\left[ \begin{array}{l}x=\dfrac{\pi}{4}+k\pi\\x=\dfrac{\pi}{12}+\dfrac{k\pi}{7}\end{array} (k∈\mathbb{Z}) \right.\)
Hãy giúp mọi người biết câu trả lời này thế nào?
Bảng tin