Đăng nhập để hỏi chi tiết
Hãy luôn nhớ cảm ơn và vote 5*
nếu câu trả lời hữu ích nhé!
Đáp án:
#Wan
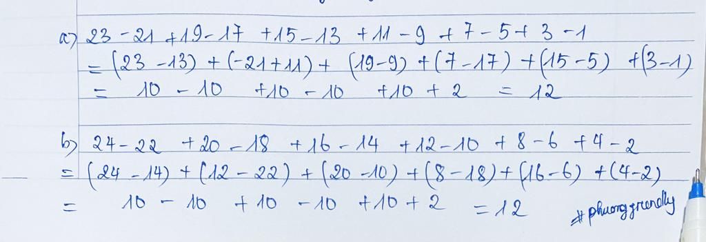
`a) 23 - 21 + 19 -17+15-13+11-9+7-5+3-1`
`= (23 - 13) + [(-21) + 11] + (19 -9) + [(-17) +7] + (15 - 5) + (3-1)`
`= 10 - 10 + 10 - 10 + 10 +2`
`= 12`
~~~~~~~~~~~~~~~~~~~~~~~~~~~~~~~
`b) 24-22 + 20 -18+16-14+12-10+8-6+4-2`
`= (24 -14) + (-22+12) + (20-10) + (-18+8) + (16 - 6) + (4-2)`
`= 10 - 10 + 10 - 10 + 10 + 2`
`= 12`
Giải thích các bước giải:
Hãy giúp mọi người biết câu trả lời này thế nào?
Bảng tin