Đăng nhập để hỏi chi tiết


Hãy luôn nhớ cảm ơn và vote 5*
nếu câu trả lời hữu ích nhé!
Đáp án + Giải thích các bước giải:
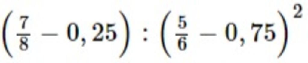
`(7/8 - 0,25) : (5/6 - 0,75)^2`
`= (7/8 - 1/4) : (5/6 - 3/4)^2`
`= (7/8 - 2/8) : (20/24 - 18/24)^2`
`= 5/8 : (1/12)^2`
`= 5/8 : 1/144`
`= 5/8 . 144`
`= 90`
Hãy giúp mọi người biết câu trả lời này thế nào?
Đáp án `+` Giải thích các bước giải:
`(7/8 - 0,25) : (5/6 - 0,75)^2`
` = (7/8 - 1/4) : (5/6 - 3/4)^2`
` = (7/8 - 2/8) : (10/12 - 9/12)^2`
` = 5/8 : (1/12)^2`
` = 5/8 : 1/144`
` = 5/8 . 144`
` = 90`
$#linhnguyen$
Hãy giúp mọi người biết câu trả lời này thế nào?
Bảng tin