Vui lòng chỉ chọn một câu hỏi
Hoidap247.com Nhanh chóng, chính xác
+
Danh mục mới
0
10
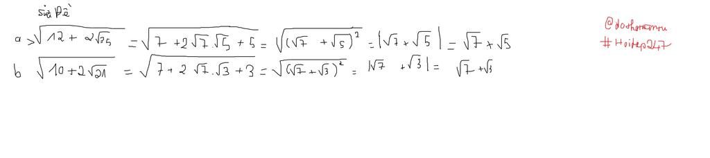
Giúp em vs ạ em cảm ơn
Hãy luôn nhớ cảm ơn và vote 5* nếu câu trả lời hữu ích nhé!
4252
78154
5043
mong cho lời giải hay nhất
Hãy giúp mọi người biết câu trả lời này thế nào?
Xem thêm:
Bảng tin
Gửi yêu cầu Hủy