

Hãy luôn nhớ cảm ơn và vote 5*
nếu câu trả lời hữu ích nhé!
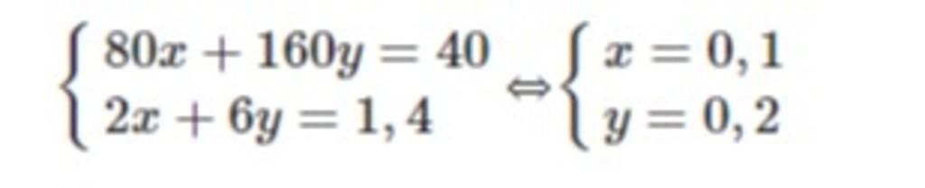
$\begin{cases} 80x+160y=40\\2x+6y=1,4 \end{cases}$
$↔\begin{cases} 80x+160y=40\\x=(1,4-6y)/2 \end{cases}$
$↔\begin{cases} 80x+160y=40\\x=(2(0,7-3y))/2 \end{cases}$
$↔\begin{cases} 80(0,7-3y)+160y=40\\x = 0,7-3y \end{cases}$
$↔\begin{cases} 56 - 240y +160y=40\\x = 0,7-3y \end{cases}$
$↔\begin{cases} 56 - 240y +160y=40\\x = 0,7-3y \end{cases}$
$↔\begin{cases} -80y=-16\\x = 0,7-3y \end{cases}$
$↔\begin{cases} y=0,2\\x = 0,7-3 . 0,2 \end{cases}$
$↔\begin{cases} y=0,2\\x = 0,7-3 . 0,2 \end{cases}$
$↔\begin{cases} y=0,2\\x = 0,1 \end{cases}$
Hãy giúp mọi người biết câu trả lời này thế nào?
![]()
Bảng tin