

Giải hết hộ mình với
Cảm ơnn
Hãy luôn nhớ cảm ơn và vote 5*
nếu câu trả lời hữu ích nhé!
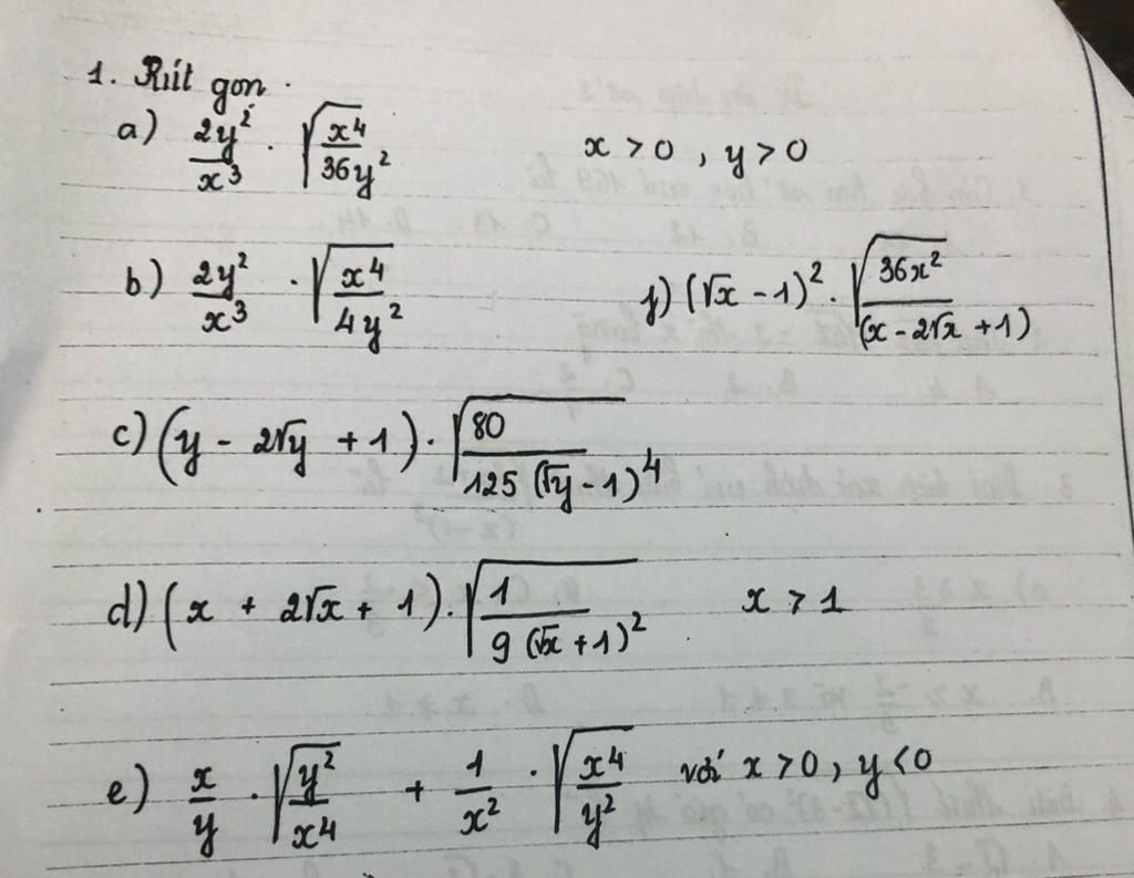
a) $\frac{2y^2}{x^3}\sqrt{\frac{x^4}{36y^2}}=\frac{2y^2}{x^3}\sqrt{\frac{(x^2)^2}{(6y)^2}}=\frac{2y^2}{x^3}.|\frac{x^2}{6y}|=\frac{2y^2}{x^3}.\frac{x^2}{6y}=\frac{y}{3x} (x>0;y>0)$
b) $\frac{2y^2}{x^3}\sqrt{\frac{x^4}{4y^2}}=\frac{2y^2}{x^3}\sqrt{\frac{(x^2)^2}{(2y)^2}}=\frac{2y^2}{x^3}.\frac{x^2}{2|y|}=\frac{y^2}{x|y|}$
c) $(y-2\sqrt y+1)\sqrt{\frac{80}{125(\sqrt{y}-1)^4}}=(\sqrt y-1)^2\sqrt{\frac{16}{25(\sqrt{y}-1)^4}}=(\sqrt y-1)^2\sqrt{(\frac{4}{5(\sqrt{y}-1)^2})^2}=(\sqrt y-1)^2|\frac{4}{5(\sqrt{y}-1)^2}|=\frac{4}{5}$
d) $(x+2\sqrt x+1).\sqrt{\frac{1}{9(\sqrt x+1)^2}}=(\sqrt x+1)^2.\frac{1}{3|\sqrt x+1|}=(\sqrt x+1)^2.\frac{1}{3(\sqrt x+1)}=\frac{\sqrt x+1}{3} (x>1)$
e) $\frac{x}{y}.\sqrt{\frac{y^2}{x^4}}+\frac{1}{x^2}\sqrt{\frac{x^4}{y^2}}=\frac{x}{y}.\frac{|y|}{x^2}+\frac{1}{x^2}\frac{x^2}{|y|}=-\frac{1}{x}-\frac{1}{y}=-\frac{x+y}{xy} (x>0; y<0)$
f) $(\sqrt x-1)^2\sqrt{\frac{36x^2}{x-2\sqrt x+1}}=(\sqrt x-1)^2.6\sqrt{\frac{x^2}{(\sqrt x-1)^2}}=6(\sqrt x-1)^2|\frac{x^2}{(\sqrt x-1)^2}|$
Hãy giúp mọi người biết câu trả lời này thế nào?
Bảng tin