Đăng nhập để hỏi chi tiết


Hãy luôn nhớ cảm ơn và vote 5*
nếu câu trả lời hữu ích nhé!
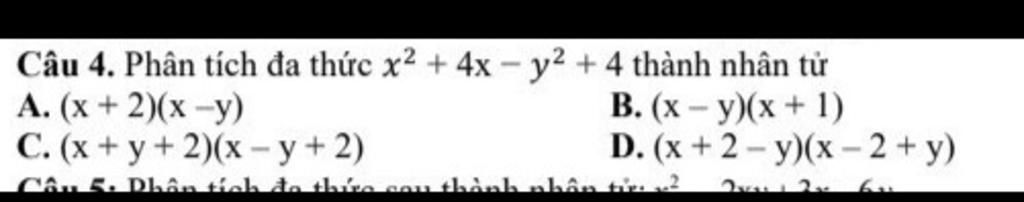
`x^2 + 4x - y^2 + 4`
`= x^2 + 4x + 4 - y^2`
`= x^2 + 2x2 + 2^2 - y^2`
`= (x + 2)^2 - y^2`
`= (x + 2 - y)(x + 2 + y)`
`= (x - y + 2)(x + y + 2)`
`->` Chọn `C`
Hãy giúp mọi người biết câu trả lời này thế nào?

Đáp án:
`->C`
Giải thích các bước giải:
`x ^ 2 + 4x - y ^ 2 + 4`$\\$`=(x ^ 2 + 4x + 4) - y ^ 2`$\\$`=x ^ 2 + 2x * 2 + 2 ^ 2 - y ^ 2`$\\$`=(x + 2) ^ 2 - y ^ 2`$\\$`=[(x + 2) + y][(x + 2) - y]`$\\$`=(x + 2 + y)[(x + 2) - y]`$\\$`=(x + 2 + y)(x + 2 - y)`
Hãy giúp mọi người biết câu trả lời này thế nào?

Bảng tin
156
-34
118
Xem lại nhé
156
-34
118
Sửa rùi à
167
3214
131
Rồi đâu là đáp án cuối?
3332
1097
3370
Sửa hồi nào?