Đăng nhập để hỏi chi tiết


Hãy luôn nhớ cảm ơn và vote 5*
nếu câu trả lời hữu ích nhé!
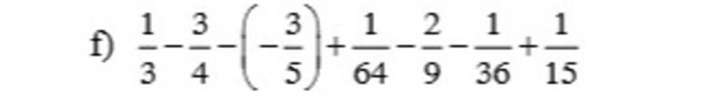
`1/3-3/4-(-3/5)+1/64-2/9+1/36+1/15`
`=(1/3+3/5+1/15)-(3/4+2/9+1/36)+1/64`
`=(5/15+9/15+1/15)-(27/36+8/36+1/36)+1/64`
`=15/15-36/36+1/64`
`=1-1+1/64`
`=0+1/64`
`=1/64`
`#Sal_tSea`
Hãy giúp mọi người biết câu trả lời này thế nào?

Bảng tin