

Hãy luôn nhớ cảm ơn và vote 5*
nếu câu trả lời hữu ích nhé!
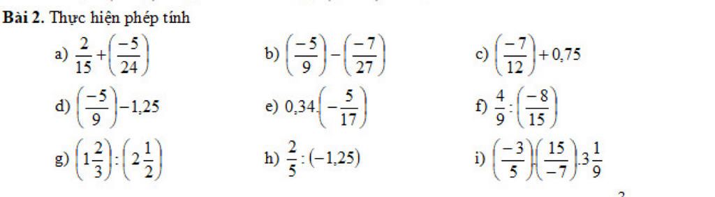
`a ) 2/15 + (-5)/24 = 16/120 + (-25)/120 = (-9)/120 = (-3)/40`
`b ) (-5)/9 - (-7)/27 = (-5)/9 + 7/27 = (-15)/27 + 7/27 = (-8)/27`
`c ) (-7)/12 + 0,75 = (-7)/12 + 3/4 = (-7)/12 + 9/12 = 2/12 = 1/6`
`d ) (-5)/9 - 1,25 = (-5)/9 - 5/4 = (-20)/36 - 45/36 = (-65)/36`
`e ) 0,34 . (-5)/17 = 17/50 . (-5)/17 =-(5.17)/(17.5.10) = (-1)/10`
`f ) 4/9 : (-8)/15 = 4/9 . (-15)/8 = -(4.3.5)/(3.3.4.2) = (-5)/(3.2) = (-5)/6`
`g ) 1 2/3 : 2 1/2 = 5/3 : 5/2 = 5/3 . 2/5 = 2/3`
`h ) 2/5 : (-1,25) = 2/5 : (-5)/4 = 2/5 . (-4)/5 = (-8)/25`
`i ) (-3)/5 . 15/(-7) . 3 1/9 = 3/5 . 15/7 . 28/9 = (3.3.5.4.7)/(5.7.3.3) = 4`
`#dtkc`
Hãy giúp mọi người biết câu trả lời này thế nào?

`a) 2/15 + ( -5/24 )`
`= 18/120 + ( -25/120 )`
`= -7/120`
`b) ( -5/9 ) - ( -7/27 )`
`= ( -15/27 ) + 7/27`
`= -8/27`
`c) ( -7/12 ) + 0,75`
`= ( -7/12 ) + 3/4`
`= ( - 7/12 ) + 9/12`
`= 2/12`
`=1/6`
`d) ( -5/9 ) - 1,25`
`= ( -5/9 ) - 5/4`
`=` `( -20/36 ) - 45/36`
`= -65/36`
`e) 0,34 . ( -5/17 )`
`= 17/50 . ( -5/17 )`
`= -5/50`
`= -1/10`
`f) 4/9 ÷ ( -8/15 )`
`= 4/9 . ( -15/8 )`
`= -5/6`
`g) ( 1 2/3 ) ÷ ( 2 1/2 )`
`= 5/3 ÷ 5/2`
`= 5/3 . 2/5`
`= 2/3`
`h) 2/5 ÷ ( -1,25 )`
`= 2/5 ÷ ( - 5/4 )`
`= 2/5 . ( -4/5 )`
`= -8/25`
`i) ( -3/5 ).(15/-7).3 1/9`
`= 9/7. 28/9`
`= 4`
Hãy giúp mọi người biết câu trả lời này thế nào?
Bảng tin