

Hãy luôn nhớ cảm ơn và vote 5*
nếu câu trả lời hữu ích nhé!
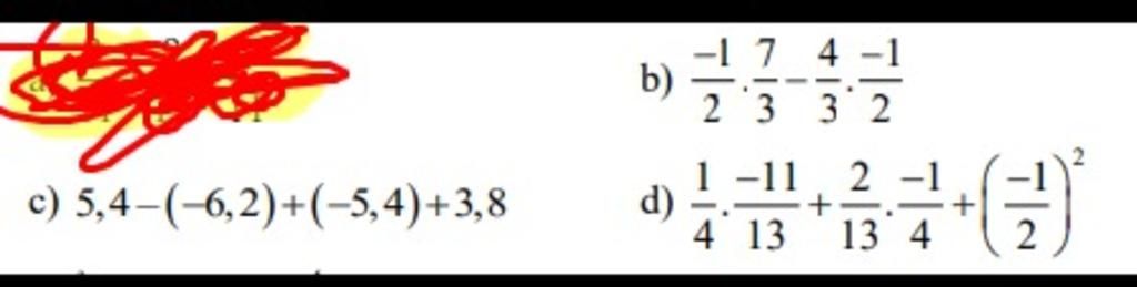
`b) (-1)/2 . 7/3 - 4/3 . (-1)/2`
`= (-1)/2 . (7/3-4/3)`
`= (-1)/2 . 1`
`= (-1)/2`
`c) 5,4 - (-6,2) + (-5,4) + 3,8`
`= 5,4 + 6,2 - 5,4 + 3,8`
`= (5,4 - 5,4) + (6,2 + 3,8)`
`= 0 + 10`
`= 10`
`d) 1/4 . (-11)/13 + 2/13 . (-1)/4 + ((-1)/2)^2`
`= 1/4 . (-11)/13 + (-2)/13 . 1/4 + 1/4 . 1`
`= 1/4 . ((-11)/13 + (-2)/13 + 1)`
`= 1/4 .0`
`= 0`
`#HPHG`
Hãy giúp mọi người biết câu trả lời này thế nào?
![]()
`b) -1/2 . 7/3 - 4/3 . -1/2`
`= [-1.7.(-1)]/[3.3]`
`= 7/9`
`c) 5,4 - ( - 6,2 ) + ( - 5,4 ) + 3,8`
`= 5,4 + 6,2 - 5,4 + 3,4`
`= 6,2 + 3,4`
`= 9,6`
`d) 1/4 . -11/13 + 2/13 . -1/4 + ( -1/2 )^2`
`= 1/4 . -11/13 + 2/13 . -1/4 + 1/4`
`= 1/4 . ( -11/13 - 2/13 + 1 )`
`= 1/4 . 0`
`= 0`
Hãy giúp mọi người biết câu trả lời này thế nào?
![]()
Bảng tin