

Hãy luôn nhớ cảm ơn và vote 5*
nếu câu trả lời hữu ích nhé!
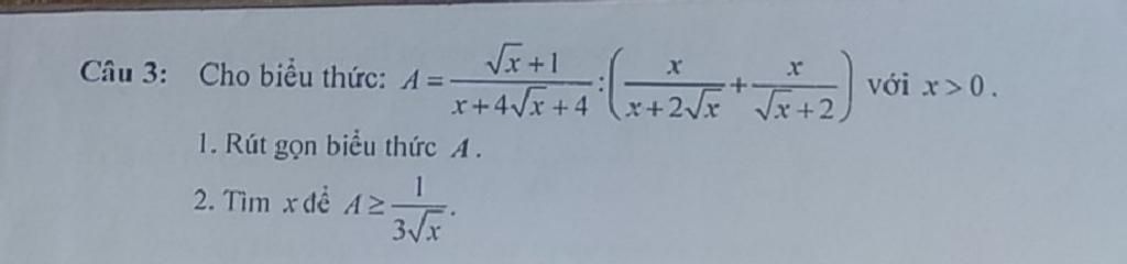
$\begin{array}{l}
1)A = \dfrac{{\sqrt x + 1}}{{x + 4\sqrt x + 4}}:\left( {\dfrac{x}{{x + 2\sqrt x }} + \dfrac{x}{{\sqrt x + 2}}} \right)\\
A = \dfrac{{\sqrt x + 1}}{{{{\left( {\sqrt x + 2} \right)}^2}}}:\left[ {\dfrac{x}{{\sqrt x \left( {\sqrt x + 2} \right)}} + \dfrac{x}{{\sqrt x + 2}}} \right]\\
A = \dfrac{{\sqrt x + 1}}{{{{\left( {\sqrt x + 2} \right)}^2}}}:\dfrac{{x + x\sqrt x }}{{\sqrt x \left( {\sqrt x + 2} \right)}}\\
A = \dfrac{{\sqrt x + 1}}{{{{\left( {\sqrt x + 2} \right)}^2}}}.\dfrac{{\sqrt x \left( {\sqrt x + 2} \right)}}{{x\left( {\sqrt x + 1} \right)}} = \dfrac{1}{{\sqrt x \left( {\sqrt x + 2} \right)}}\\
2)A \ge \dfrac{1}{{3\sqrt x }} \Leftrightarrow \dfrac{1}{{\sqrt x \left( {\sqrt x + 2} \right)}} \ge \dfrac{1}{{3\sqrt x }}\\
\Leftrightarrow \dfrac{1}{{\sqrt x + 2}} \ge \dfrac{1}{3} \Leftrightarrow \sqrt x + 2 \le 3 \Leftrightarrow \sqrt x \le 1\\
\Rightarrow x < 1\\
\text{Kết hợp điều kiện} :x > 0 \Rightarrow 0 < x < 1
\end{array}$
Hãy giúp mọi người biết câu trả lời này thế nào?

`1.` Với `x > 0`, ta có:
`A = (sqrt(x)+1)/(x+4sqrt(x)+4) : (x/(x+2sqrt(x)) + x/(sqrt(x)+2))`
`A = (sqrt(x)+1)/((sqrt(x)+2)^2) : (x/(sqrt(x)(sqrt(x)+2)) + x/(sqrt(x)+2))`
`A = (sqrt(x)+1)/((sqrt(x)+2)^2) : (sqrt(x)/(sqrt(x)+2) + x/(sqrt(x)+2))`
`A = (sqrt(x)+1)/((sqrt(x)+2)^2) : (sqrt(x)+x)/(sqrt(x)+2)`
`A = (sqrt(x)+1)/((sqrt(x)+2)^2) * (sqrt(x)+2)/(sqrt(x)(sqrt(x)+1))`
`A = 1/(sqrt(x)(sqrt(x)+2))`
`2.` Để `A >= 1/(3sqrt(x))` thì:
`1/(sqrt(x)(sqrt(x)+2)) >= 1/(3sqrt(x))`
`3/(sqrt(x)+2) >= 1`
`3 >= sqrt(x)+2`
`1 >= sqrt(x)`
`1 >= x`
Kết hợp với điều kiện, ta được `0 < x <= 1`
Vậy `0 < x <= 1` thì `A >= 1/(3sqrt(x))`
Hãy giúp mọi người biết câu trả lời này thế nào?
Bảng tin