

Hãy luôn nhớ cảm ơn và vote 5*
nếu câu trả lời hữu ích nhé!
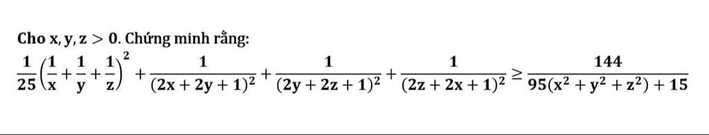
Đáp án + giải thích các bước giải:
Áp dụng bất đẳng thức cộng mẫu:
$\\$
`1/x+1/y+1/z>=9/(x+y+z)`
$\\$
`->1/25(1/x+1/y+1/z)^2>=1/25(9/(x+y+z))^2`
$\\$
Áp dụng bất đẳng thức cộng mẫu:
$\\$
`1/25(9/(x+y+z))^2+1/(2x+2y+1)^2+1/(2y+2z+1)^2+1/(2z+2x+1)^2`
$\\$
`>=(9+1+1+1)^2/(25(x+y+z)^2+(2x+2y+1)^2+(2y+2z+1)^2+(2z+2x+1)^2)`
$\\$
`=144/(25(x+y+z)^2+(2x+2y+1)^2+(2y+2z+1)^2+(2z+2x+1)^2)`
$\\$
Vậy ta cần chứng minh:
$\\$
`25(x+y+z)^2+(2x+2y+1)^2+(2y+2z+1)^2+(2z+2x+1)^2<=95(x^2+y^2+z^2)+15`
$\\$
`->25(x+y+z)^2+[4(x^2+y^2)+4(x+y)+8xy+1]+[4(y^2+z^2)+4(y+z)+8yz+1]+[4(z^2+x^2)+4(z+x)+8zx+1]<=95(x^2+y^2+z^2)`
$\\$
`->25(x+y+z)^2+8(x^2+y^2+z^2)+8(x+y+z)+8(xy+yz+zx)+3<=95(x^2+y^2+z^2)+15`
$\\$
`->25(x+y+z)^2+8(x+y+z)+8(xy+yz+zx)<=87(x^2+y^2+z^2)+12`
$\\$
`->25(x+y+z)^2+8(x+y+z)+8(xy+yz+zx)<=87[(x+y+z)^2-2(xy+yz+zx)]+12`
$\\$
`->25(x+y+z)^2+8(x+y+z)+8(xy+yz+zx)<=87(x+y+z)^2-174(xy+yz+zx)+12`
$\\$
`->62(x+y+z)^2-182(xy+yz+zx)-8(x+y+z)+12>=0`
$\\$
Ta có bất đẳng thức `(x+y+z)^2>=3(xy+yz+zx)`
$\\$
`->xy+yz+zx<=(x+y+z)^2/3 `
$\\$
`->-(xy+yz+zx)>=-(x+y+z)^2/3`
$\\$
`->62(x+y+z)^2-182(xy+yz+zx)-8(x+y+z)+12`
$\\$
`>=62(x+y+z)^2-182 (x+y+z)^2/3-8(x+y+z)+12`
$\\$
`=4/3(x+y+z)^2-8(x+y+z)+12`
$\\$
Vậy ta cần chứng minh:
$\\$
`4/3(x+y+z)^2-8(x+y+z)+12>=0`
$\\$
`->(x+y+z)^2-6(x+y+z)+9>=0`
$\\$
`->(x+y+z-3)^2>=0` (luôn đúng)
$\\$
Vậy ta có điều phải chứng minh
$\\$
Dấu bằng xảy ra khi `x=y=z=1`
Hãy giúp mọi người biết câu trả lời này thế nào?

Bảng tin
6299
24143
7282
uh, mình cũng giải theo ý tưởng của bạn thôi, cái bpt đó trông to nhưng phá ngoặc hết ra là giải được á
0
1914
0
dạ vg
0
1914
0
mà bn ơiii
0
1914
0
bn có nick skype k ạ
6299
24143
7282
có ạ
0
1914
0
có thể cho mk xin nick đc k ạ
0
1914
0
lm quen đc k ạ
14800
147
15555
hmmmm...