

Hãy luôn nhớ cảm ơn và vote 5*
nếu câu trả lời hữu ích nhé!
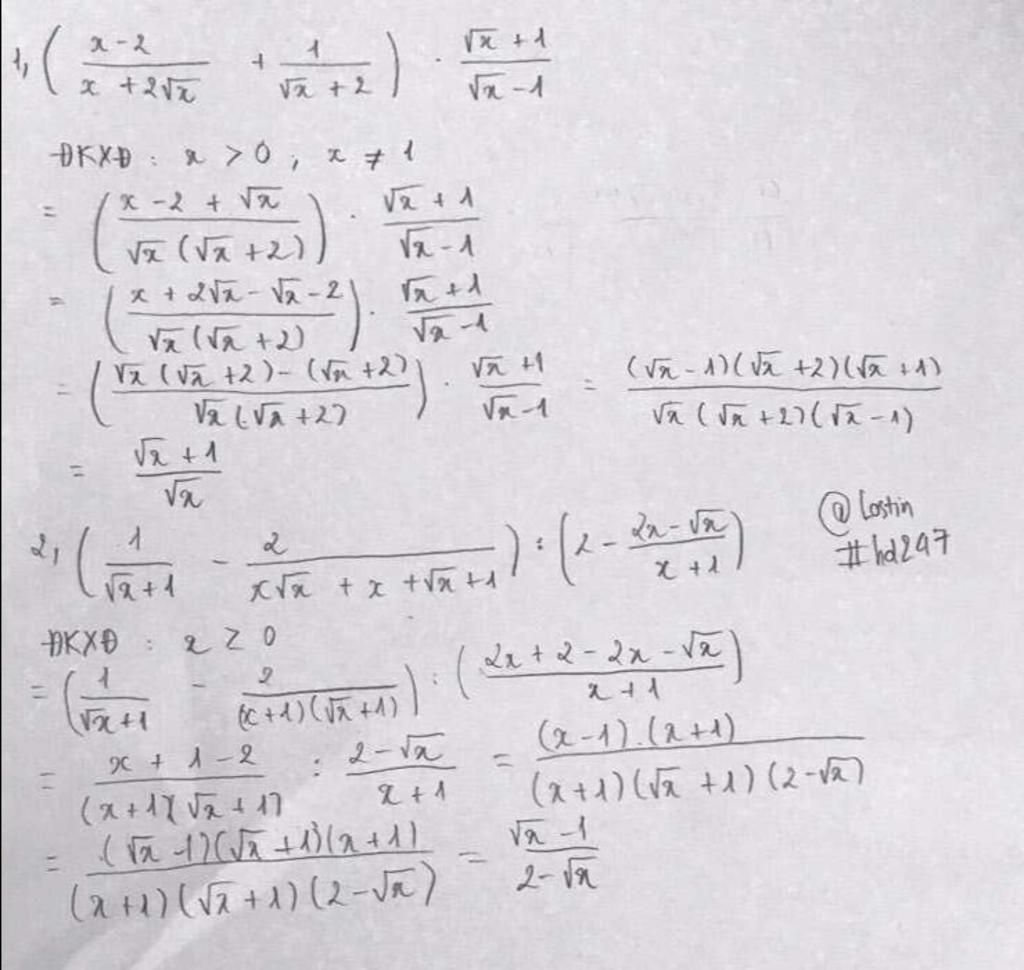
Đáp án+Giải thích các bước giải:
`((x-2)/(x+2\sqrt{x}) + 1/(\sqrt{x}+2)). (\sqrt{x}+1)/(\sqrt{x}-1)`
ĐKXĐ: $\begin{cases} x+2\sqrt{x}\ne0\\\sqrt{x}+2\ne0\\ \sqrt{x}-1\ne0\\\sqrt{x}+1\ne0\\x\geq0\end{cases}$
`<=>`$\begin{cases}\sqrt{x}(\sqrt{x}+2)\ne0\\\sqrt{x}\ne-2\\ \sqrt{x}\ne1\\\sqrt{x}\ne-1\\x\geq0\end{cases}$
`<=>`$\begin{cases}\sqrt{x}\ne0\\\sqrt{x}\ne-2\\ \sqrt{x}\ne1\\\sqrt{x}\ne-1\\x\geq0\end{cases}$
`<=>`$\begin{cases}x\ne0\\\sqrt{x}\ne-2\\ \sqrt{x}\ne1\\\sqrt{x}\ne-1\\x\geq0\end{cases}$
`<=>`$\begin{cases}x>0\\\sqrt{x}\ne-2\text{(luôn đúng ∀x>0)}\\ x\ne1\\\sqrt{x}\ne-1\text{(luôn đúng ∀x>0)}\end{cases}$
`<=>`$\begin{cases}x>0\\ x\ne1\\\end{cases}$
`((x-2)/(x+2\sqrt{x}) + 1/(\sqrt{x}+2)). (\sqrt{x}+1)/(\sqrt{x}-1)`
`=((x-2)/(\sqrt{x}(\sqrt{x}+2)) + 1/(\sqrt{x}+2)). (\sqrt{x}+1)/(\sqrt{x}-1)`
`=(x-2+\sqrt{x})/(\sqrt{x}(\sqrt{x}+2)) . (\sqrt{x}+1)/(\sqrt{x}-1)`
`=(x-1+\sqrt{x}-1)/(\sqrt{x}(\sqrt{x}+2)) . (\sqrt{x}+1)/(\sqrt{x}-1)`
`=((\sqrt{x}-1)(\sqrt{x}+2))/(\sqrt{x}(\sqrt{x}+2)) . (\sqrt{x}+1)/(\sqrt{x}-1)`
`=(\sqrt{x}+1)/(\sqrt{x})`
____________________________________________________
`(1/(\sqrt{x}+1) - 2/(x\sqrt{x}+x+\sqrt{x}+1)):(2- (2x-\sqrt{x})/(x+1))`
ĐKXĐ:$\begin{cases} x\geq0\\\sqrt{x}+1\ne0\\x\sqrt{x}+x+\sqrt{x}+1\ne0\\x+1\ne0\end{cases}$
`<=>`$\begin{cases} x\geq0\\\sqrt{x}+1\ne0\\x(\sqrt{x}+1)+\sqrt{x}+1\ne0\\x+1\ne0\end{cases}$
`<=>`$\begin{cases} x\geq0\\\sqrt{x}+1\ne0\\(x+1)(\sqrt{x}+1)\ne0\\x+1\ne0\end{cases}$
`<=>`$\begin{cases} x\geq0\\\sqrt{x}+1\ne0\\x+1\ne0\end{cases}$
`<=>`$\begin{cases} x\geq0\\\sqrt{x}\ne-1\text{(luôn đúng ∀x≥0)}\\x\ne-1\text{(luôn đúng ∀x≥0)}\end{cases}$
Vậy `x>=0`
`(1/(\sqrt{x}+1) - 2/(x\sqrt{x}+x+\sqrt{x}+1)):(2- (2x-\sqrt{x})/(x+1))`
`=(1/(\sqrt{x}+1) - 2/(x(\sqrt{x}+1)+\sqrt{x}+1)):(2- (2x-\sqrt{x})/(x+1))`
`= (x+1-2)/((x+1)(\sqrt{x}+1)): (2(x+1)-(2x-\sqrt{x}))/(x+1)`
`= (x-1)/((x+1)(\sqrt{x}+1)): (2x+2-2x+\sqrt{x})/(x+1)`
`= ((\sqrt{x}+1)(\sqrt{x}-1))/((x+1)(\sqrt{x}+1)). (x+1)/( 2+\sqrt{x})`
`= (\sqrt{x}-1)/( 2+\sqrt{x})`
Hãy giúp mọi người biết câu trả lời này thế nào?

Bảng tin