Vui lòng chỉ chọn một câu hỏi
Hoidap247.com Nhanh chóng, chính xác
+
Danh mục mới
98
3997
43
Hãy luôn nhớ cảm ơn và vote 5* nếu câu trả lời hữu ích nhé!
4
200
1
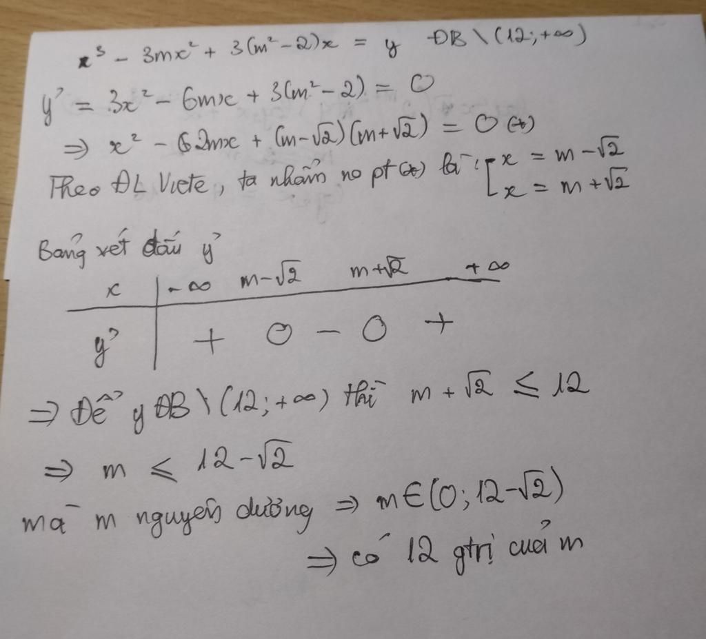
Đáp án: 11
Giải thích các bước giải:
Hãy giúp mọi người biết câu trả lời này thế nào?
6
540
bn ơi
sao b
Bảng tin
Gửi yêu cầu Hủy
6
540
4
bn ơi
4
200
1
sao b