

Hãy luôn nhớ cảm ơn và vote 5*
nếu câu trả lời hữu ích nhé!
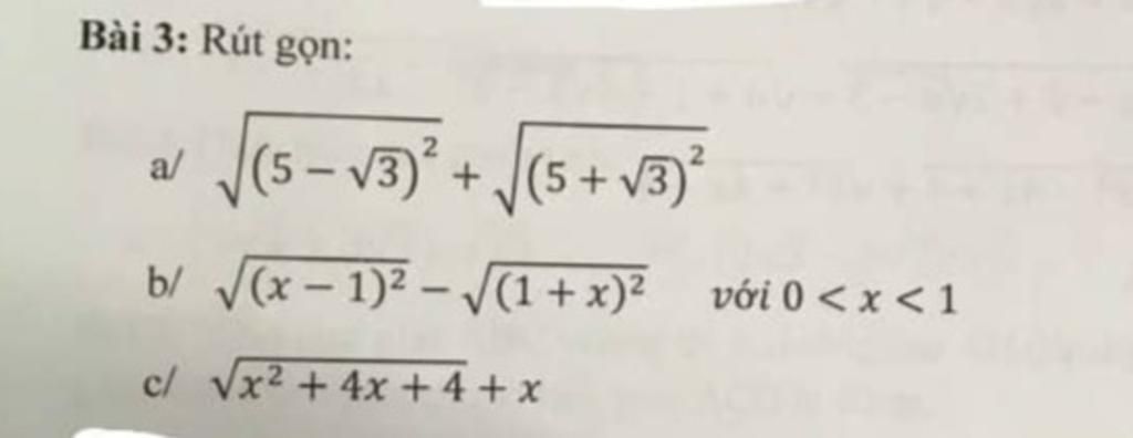
`a)` `\sqrt{(5-\sqrt{3})^2}+(5+\sqrt{3})^2`
`=|5-\sqrt{3}|+|5+\sqrt{3}|`
`=5-\sqrt{3}+5+\sqrt{3}`
`=(5+5)+(-\sqrt{3}+\sqrt{3})`
`=10`
`c)` `\sqrt{x^2+4x+4}+x`
`=\sqrt{x^2+2x.2+2^2}+x`
`=\sqrt{(x+2)^2}+x`
`=|x+2|+x`
`=x+2+x`
`=2x+2`
Hãy giúp mọi người biết câu trả lời này thế nào?
Đáp án:`+`Giải thích các bước giải:
`a)\sqrt{(5-\sqrt{3})^2}+\sqrt{(5+\sqrt{3})^2}`
`=|5-\sqrt{3}|+|5+\sqrt{3}`
`=5-\sqrt{3}+5+\sqrt{3}`
`=10`
`c)\sqrt{x^2+4x+4}+x`
`=\sqrt{(x+2)^2}+x`
`=|x+2|+x`
`=x+2+x`
`=2x+2`
----------------------
`@` Áp dụng: `\sqrt{A^2 } = |A|`
Hãy giúp mọi người biết câu trả lời này thế nào?

Bảng tin