

Hãy luôn nhớ cảm ơn và vote 5*
nếu câu trả lời hữu ích nhé!
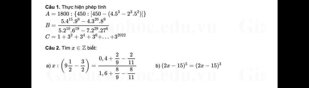
`1)`
`A=1800:{450:[450-(4.5^3-2^3 . 5^2)]}`
`A=1800:{450:[450-(4.125-8.25)]}`
`A=1800:{450:[450-(500-200)]}`
`A=1800:[450:(450-300)]`
`A=1800:(450:150)`
`A=1800:3`
`A=600`
`-` Vậy : `A=600.`
`B={5.4^15. 9^9-4.3^20. 8^9}/{5.2^10. 6^19-7.2^29. 27^6}`
`B={5.(2^2)^15 . (3^2)^9 - 2^2 . 3^20 . (2^3)^9}/{5.2^10 . (2.3)^19 - 7.2^29 . (3^3)^6}`
`B={5.2^30 . 3^18-2^2 . 3^20 . 2^27}/{5.2^10 . 2^19 . 3^19 - 7.2^29 . 3^18}`
`B={5.2^30 . 3^18-2^29 . 3^20}/{5 . 2^29 . 3^19-7 . 2^29 . 3^18}`
`B={2^29 . 3^18 . (5.2-3^2)}/{2^29 . 3^18 . (5.3-7)}`
`B={2^29 . 3^18 .(10-9)}/{2^29 . 3^18 . (15-7)}`
`B={10-9}/{15-7}`
`B=1/8`
`-` Vậy : `B=1/8 .`
`C=1+3^2+3^4+3^6+...+3^2022`
`3^2C=3^2+3^4+3^6+3^8+...+3^2024`
`9C-C=(3^2+3^4+3^6+3^8+...+3^2024)-(1+3^2+3^4+3^6+...+3^2022)`
`8C=3^2024-1`
`C={3^2024-1}/8`
`-` Vậy : `C={3^2024-1}/8 .`
`2)`
`a)x:(9 1/2-3/2)={0,4+2/9-2/11}/{1,6+8/9-8/11}`
`x:(19/2-3/2)={2/5+2/9-2/11}/{8/5+8/9-8/11}`
`x : 16/2={2(1/5+1/9+1/11)}/{8(1/5+1/9-1/11)}`
`x : 8=2/8`
`x=2/8xx8`
`x=16/8`
`x=2`
`-` Vậy : `x=2.`
`b)(2x-15)^5=(2x-15)^3`
`(2x-15)^5-(2x-15)^3=0`
`(2x-15)^3[(2x-15)^2-1]=0`
`+)TH1:`
`(2x-15)^3=0`
`2x-15=0`
`2x=0+15`
`2x=15`
`x=15:2`
`x=7,5`
`+)TH2:`
`(2x-15)^2-1=0`
`(2x-15)^2=0+1`
`(2x-15)^2=1`
`=>` \(\left[ \begin{array}{l}(2x-15)^2=1^2\\(2x-15)^2=(-1)^2\end{array} \right.\)
`=>` \(\left[ \begin{array}{l}2x-15=1\\2x-15=-1\end{array} \right.\)
`=>` \(\left[ \begin{array}{l}2x=1+15\\2x=-1+15\end{array} \right.\)
`=>` \(\left[ \begin{array}{l}2x=16\\2x=14\end{array} \right.\)
`=>` \(\left[ \begin{array}{l}x=16:2\\x=14:2\end{array} \right.\)
`=>` \(\left[ \begin{array}{l}x=8\\x=7\end{array} \right.\)
`-` Vậy : `x∈{7,5;8;7}`
`#Sal_tSea`
Hãy giúp mọi người biết câu trả lời này thế nào?
![]()
Bảng tin