Đăng nhập để hỏi chi tiết


Hãy luôn nhớ cảm ơn và vote 5*
nếu câu trả lời hữu ích nhé!
Đáp án:
Nghiệm của hệ pt là `(x;y)=(3;5)`
Giải thích các bước giải:
Hãy giúp mọi người biết câu trả lời này thế nào?
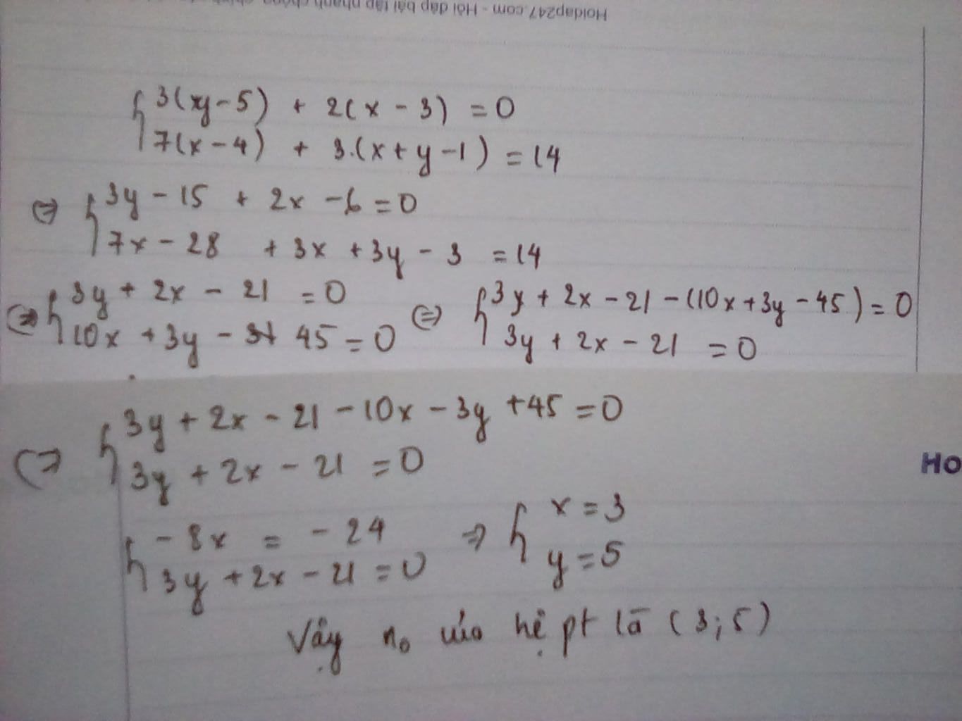
3(y-5)+2(x-3)=0 và 7(x-4)+3(x+y-1)=14
⇔3y-15+2x-6=0 và 7x-28+3x+3y-3=14
⇔3x+2y=21 và 10x+3y=45
⇔9x+6y=63 và 20x+6y=90
⇔-11x=-27 và 3x+2y=21
⇔x=27/11 và 3.27/11+2y=21
⇔x=27/11 và 2y=150/11
⇔x=27/11 và y=75/11
Hãy giúp mọi người biết câu trả lời này thế nào?
Bảng tin