

Hãy luôn nhớ cảm ơn và vote 5*
nếu câu trả lời hữu ích nhé!

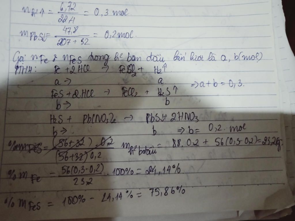
Đáp án:
\({\text{\% }}{{\text{m}}_{Fe}} = 24,1\% ;{\text{ \% }}{{\text{m}}_{FeS}} = 75,9\% \)
Giải thích các bước giải:
Phản ứng xảy ra:
\(Fe + {H_2}S{O_4}\xrightarrow{{}}FeS{O_4} + {H_2}\)
\(FeS + {H_2}S{O_4}\xrightarrow{{}}FeS{O_4} + {H_2}S\)
Gọi số mol Fe là x, FeS là y.
\(\to {n_{hh{\text{ khí}}}} = {n_{Fe}} + {n_{FeS}} = x + y = \frac{{6,72}}{{22,4}} = 0,3{\text{ mol}}\)
Dẫn hỗn hợp khí này vào \(Pb{(N{O_3})_2}\) dư
\(Pb{(N{O_3})_2} + {H_2}S\xrightarrow{{}}PbS + 2HN{O_3}\)
\({n_{PbS}} = {n_{{H_2}S}} = y = \frac{{47,8}}{{207 + 32}} = 0,2{\text{ mol}} \to {\text{x = 0}}{\text{,1}}\)
\(\to {m_{Fe}} = 0,1.56 = 5,6{\text{ gam; }}{{\text{m}}_{FeS}} = 0,2.(56 + 32) = 17,6{\text{ gam}} \to {\text{\% }}{{\text{m}}_{Fe}} = \frac{{5,6}}{{5,6 + 17,6}} = 24,1\% ;{\text{ \% }}{{\text{m}}_{FeS}} = 75,9\% \)
Hãy giúp mọi người biết câu trả lời này thế nào?
Bảng tin