

Hãy luôn nhớ cảm ơn và vote 5*
nếu câu trả lời hữu ích nhé!
Cauchy:
$$\dfrac{1}{x}+\dfrac{1}{y}\ge \dfrac{2}{\sqrt{xy}}$$
Cauchy:
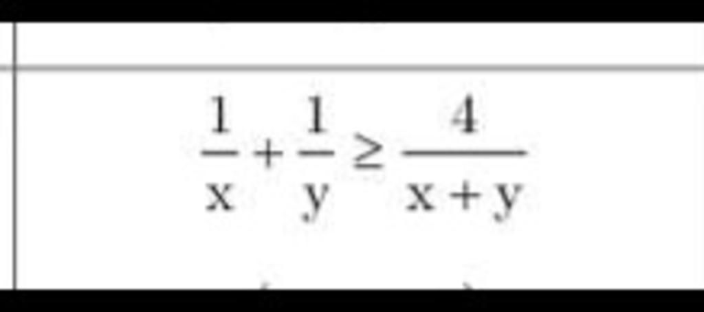
$$xy\le \dfrac{(x+y)^2}{4}\\\to \sqrt{xy}\le \dfrac{x+y}{2}\\\to \dfrac{1}{x}+\dfrac{1}{y}\ge \dfrac{2}{\dfrac{x+y}{2}}\\\ge \dfrac{4}{x+y}$$
Dấu "=" xảy ra khi và chỉ khi: $x=y$
Hãy giúp mọi người biết câu trả lời này thế nào?
Đáp án:
Theo bất đẳng thức Svac-xơ cho 2 số `x` và `y`, ta có:
`1/x + 1/y >= ( 1 + 1 )^2/(x + y ) `
`<=> 1/x + 1/y >= 4/( x + y )`.
Giải thích các bước giải:
Hãy giúp mọi người biết câu trả lời này thế nào?
![]()
còn cách nào chứng minh nó đơn giản hơn ko ạ :(
Áp dụng bđt là đơn giản nhất r mà. Cách thứ 2 thì có thể quy đồng, nhân chéo rồi xét hiệu hai vế, nếu ra 1 bình phương luôn `>= 0 ` thì bđt được chứng minh.
Hoặc vì `x, y ` dương nên có thể quy đồng cả 2 vế r khử mẫu.
https://hoidap247.com/cau-hoi/4538020 Giúp mik với ạ
Bảng tin
140
5881
103
https://hoidap247.com/cau-hoi/4538020 Giúp mik với ạ