

Hãy luôn nhớ cảm ơn và vote 5*
nếu câu trả lời hữu ích nhé!
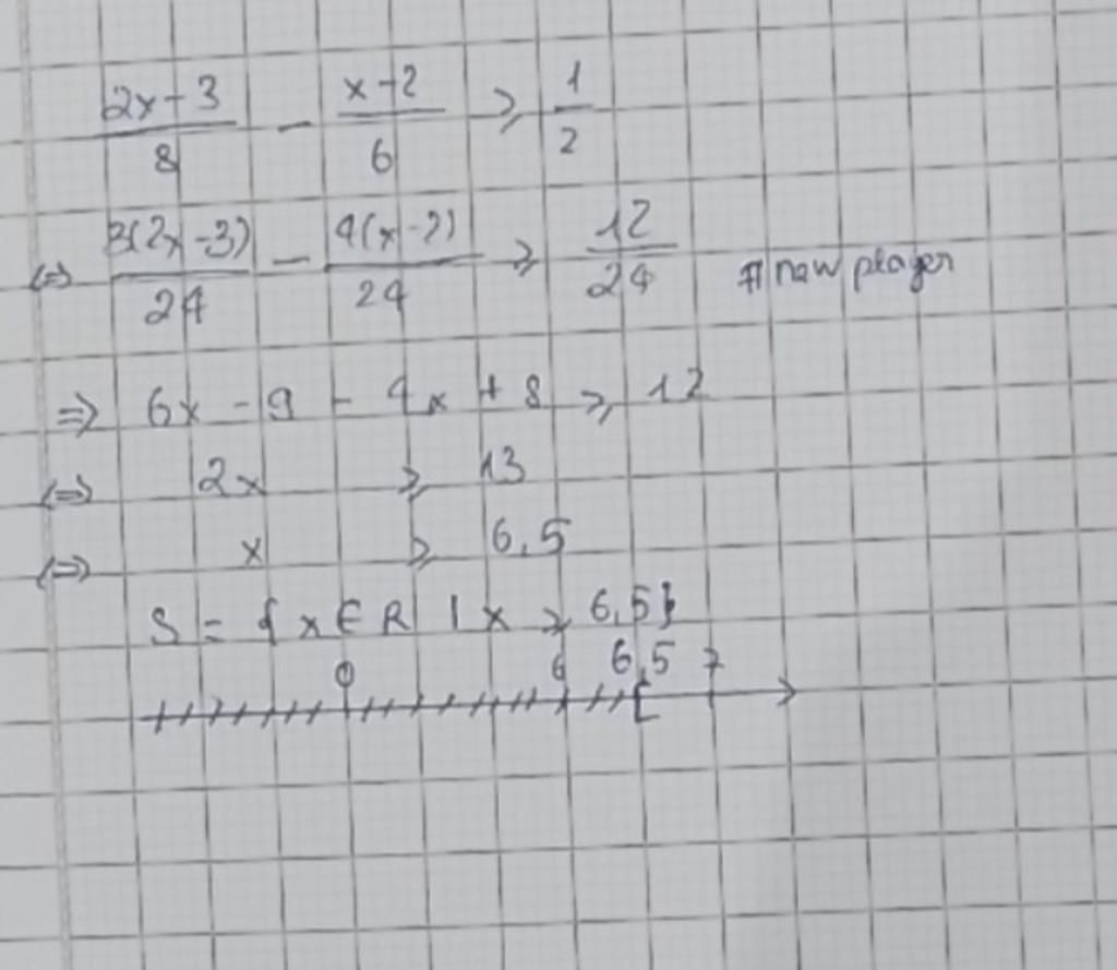
$\frac{2x-3}{8}$ - $\frac{x-2}{6}$ $\geq$ $\frac{1}{2}$
B2 : Quy đồng ⇔ $\frac{6(2x-3)}{48}$ - $\frac{8(x-2)}{48}$ $\geq$ $\frac{24}{48}$
B3 : Khử mẫu (lưu ý dùng dấu ⇒ ở bước này) ⇒ 12x - 18 - 8x + 16 ≥ 24
B4 : Tính toán bình thường (x chuyển hết sang 1 vế, chuyển vế lưu ý đổi dấu)
⇔ 12x - 8x ≥ 18 - 16 + 24
⇔ 4x ≥ 26
⇔ x ≥ $\frac{13}{2}$
B5 : Kết luận : Vậy x x ≥ $\frac{13}{2}$ là tập nghiệm của bất phương trình
B6 : Biểu diễn tập nghiệm trên trục số nếu đề bài yêu cầu (Hình vẽ)
Hãy giúp mọi người biết câu trả lời này thế nào?
Bảng tin
0
-67
0
bn ơi