Vui lòng chỉ chọn một câu hỏi
Hoidap247.com Nhanh chóng, chính xác
+
Danh mục mới
6
872
4
Hãy luôn nhớ cảm ơn và vote 5* nếu câu trả lời hữu ích nhé!
885
2930
652
$#lethiaithao065$
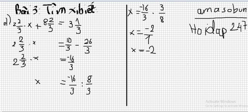
Đây ạ `!`
`a,` `-1/5+3/10.x=-1/4`
`3/10.x=-1/4--1/5`
`3/10.x=-1/20`
`x=-1/20:3/10`
`x=-1/6`
mk sửa lại câu `a` nha
Hãy giúp mọi người biết câu trả lời này thế nào?
câu b đó
`-8/63` đúng mà
laphaair lấy 2 phần 9 cộng với 1 phần 3 chứ nhỉ?
đúng ko:))
à `2/9` là số bị trừ nên muốn tìm số trừ phải lấy số bị trừ trừ đi hiệu nha
ví dụ như 4-x=2 tìm x vậy thì ta phk lấy số bị trừ là `4` - đi hiệu là `2` thì ra số trừ là `2`
bn hỉu chx
cho mk hay nhất ik bn mk làm đúng hết ùi
41
1563
43
Cho mik 5* và câu trả lời hay nhất nha
Bảng tin
Gửi yêu cầu Hủy
6
872
4
câu b đó
885
2930
652
`-8/63` đúng mà
6
872
4
laphaair lấy 2 phần 9 cộng với 1 phần 3 chứ nhỉ?
6
872
4
đúng ko:))
885
2930
652
à `2/9` là số bị trừ nên muốn tìm số trừ phải lấy số bị trừ trừ đi hiệu nha
885
2930
652
ví dụ như 4-x=2 tìm x vậy thì ta phk lấy số bị trừ là `4` - đi hiệu là `2` thì ra số trừ là `2`
885
2930
652
bn hỉu chx
885
2930
652
cho mk hay nhất ik bn mk làm đúng hết ùi