Vui lòng chỉ chọn một câu hỏi
Hoidap247.com Nhanh chóng, chính xác
+
Danh mục mới
1
791
Hãy luôn nhớ cảm ơn và vote 5* nếu câu trả lời hữu ích nhé!
55
0
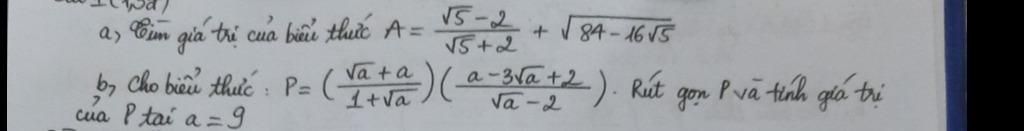
Cau a
=(5-2)x(5+2)+(2-45)^2
=(5-2)^2+45-2
=5-45+4+45-2
=7
Hãy giúp mọi người biết câu trả lời này thế nào?
Xem thêm:
Bảng tin
Gửi yêu cầu Hủy