

Hãy luôn nhớ cảm ơn và vote 5*
nếu câu trả lời hữu ích nhé!
Đáp án:
`x in { - 3 ; - 2; - 1 ; 0 ; 1; 2 ; 3 ; 4 } `
Giải thích các bước giải:
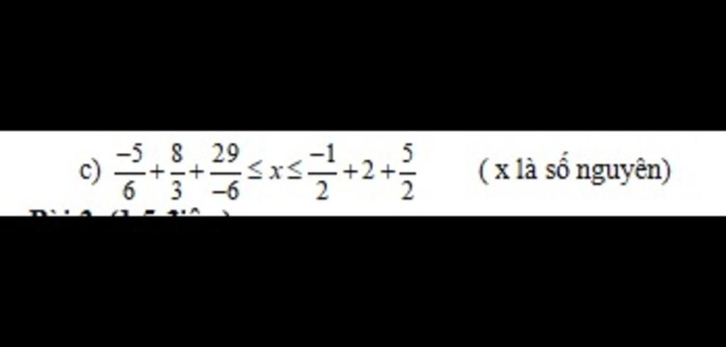
`-5/6 + 8/3+ 29/-6 <= x<= -1/2 + 2 + 5/2 `
`=> - 3 <= x <= 4 `
`=> x = { x in Z | -3 <= x <= 4 } `
`=> x in { - 3 ; - 2 ; - 1 ; 0 ; 1 ; 2 ; 3 ; 4 } `
Vậy `x in { - 3 ; - 2; - 1 ; 0 ; 1; 2 ; 3 ; 4 } `
Hãy giúp mọi người biết câu trả lời này thế nào?
![]()
c, Ta có: -5/6+8/3+29/-6 ≤ x ≤ -1/2+2+5/2
⇒ -3 ≤ x ≤ 4
Mà x ∈ Z
⇒ x ∈ { -3 ; -2 ; -1 ; 0 ; 1 ; 2 ; 3 ; 4 }
Vậy x ∈ { -3 ; -2 ; -1 ; 0 ; 1 ; 2 ; 3 ; 4 }
Chúc em học tốt nha
Hãy giúp mọi người biết câu trả lời này thế nào?
![]()
Bảng tin