Đăng nhập để hỏi chi tiết


Hãy luôn nhớ cảm ơn và vote 5*
nếu câu trả lời hữu ích nhé!
`!`
Đáp án: `+` Giải thích các bước giải:
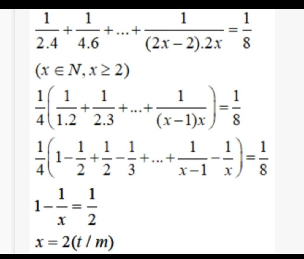
`1/(2.4) + 1/(4.6) + ... + 1/((2x-2)(2x)) = 1/8`.
`=> 1/4 . ( 1/((2:2)(4:2)) + 1/((4:2)(6:2)) + .... + 1/(((2x-2):2)((2x):2))) = 1/8`
`=> 1/4 . (1/1.2 + 1/(2.3) + ... + 1/(x(x-1)) = 1/8`.
`=> 1 - 1/x = 1/2`.
`=> 1/x = 1/2`
`=> x = 2`.
Hãy giúp mọi người biết câu trả lời này thế nào?
Bảng tin
0
80
0
Bn có thể giải thích kĩ hơn 1 chút cho mik đk ?
15
240
16
Kiểu như là đặt nhân tử chung là 1/4 ra ngoài đó bn
15
240
16
1/4*6 = 1/4*2*3 = 1/4* 1/2*3