

Hãy luôn nhớ cảm ơn và vote 5*
nếu câu trả lời hữu ích nhé!

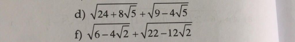
$ d)\sqrt {24 + 8\sqrt 5 } + \sqrt {9 - 4\sqrt 5 } \\ = \sqrt {24 + 2.2.2\sqrt 5 } + \sqrt {9 - 2.2.\sqrt 5 } \\ = \sqrt {{{(2\sqrt 5 )}^2} + 2.2.2\sqrt 5 + {2^2}} + \sqrt {{{(\sqrt 5 )}^2} - 2.2.\sqrt 5 + {2^2}} \\ = \sqrt {{{\left( {2\sqrt 5 + 2} \right)}^2}} + \sqrt {{{\left( {\sqrt 5 - 2} \right)}^2}} \\ = \left| {2\sqrt 5 + 2} \right| + \left| {\sqrt 5 - 2} \right| \\ = 2\sqrt 5 + 2 + \sqrt 5 - 2 \\ = 3\sqrt 5 \\ f)\sqrt {6 - 4\sqrt 2 } + \sqrt {22 - 12\sqrt 2 } \\ = \sqrt {6 - 2.2.\sqrt 2 } + \sqrt {22 - 2.2.3\sqrt 2 } \\ = \sqrt {{2^2} - 2.2.\sqrt 2 + {{(\sqrt 2 )}^2}} + \sqrt {{{(3\sqrt 2 )}^2} - 2.2.3\sqrt 2 + {2^2}} \\ = \sqrt {{{\left( {2 - \sqrt 2 } \right)}^2}} + \sqrt {{{\left( {3\sqrt 2 - 2} \right)}^2}} \\ = \left| {2 - \sqrt 2 } \right| + \left| {3\sqrt 2 - 2} \right| \\ = 2 - \sqrt 2 + 3\sqrt 2 - 2 \\ = 2\sqrt 2 \\ $
Hãy giúp mọi người biết câu trả lời này thế nào?
![]()
Bảng tin