Đăng nhập để hỏi chi tiết


Hãy luôn nhớ cảm ơn và vote 5*
nếu câu trả lời hữu ích nhé!
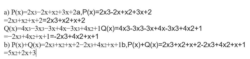
Mình trả lời ảnh nha!
Thắc mắc cứ hỏi mình nha!
Chúc bạn học tốt!
Xin 5 sao, cảm ơn và câu trả lời hay nhất ạ!
À, câu b mình đoán đại đề nha! Nếu là tích thì kêu mình chỉnh nha!
Hãy giúp mọi người biết câu trả lời này thế nào?
Bảng tin
39
2402
66
Vote chéo không?
39
2402
66
Rùi á nghen :)
0
5
0
Bn có thể Cách áp dụng để lm đc bài này ko ạ mk cho bn ctrh
39
2402
66
được nha bạn!
39
2402
66
uhm bạn vận dụng kiến thức tính chất kết hợp và tính chất giao hoán của phép cộng nha! Cho mình xin ctrlhn ik please