Đăng nhập để hỏi chi tiết


Hãy luôn nhớ cảm ơn và vote 5*
nếu câu trả lời hữu ích nhé!
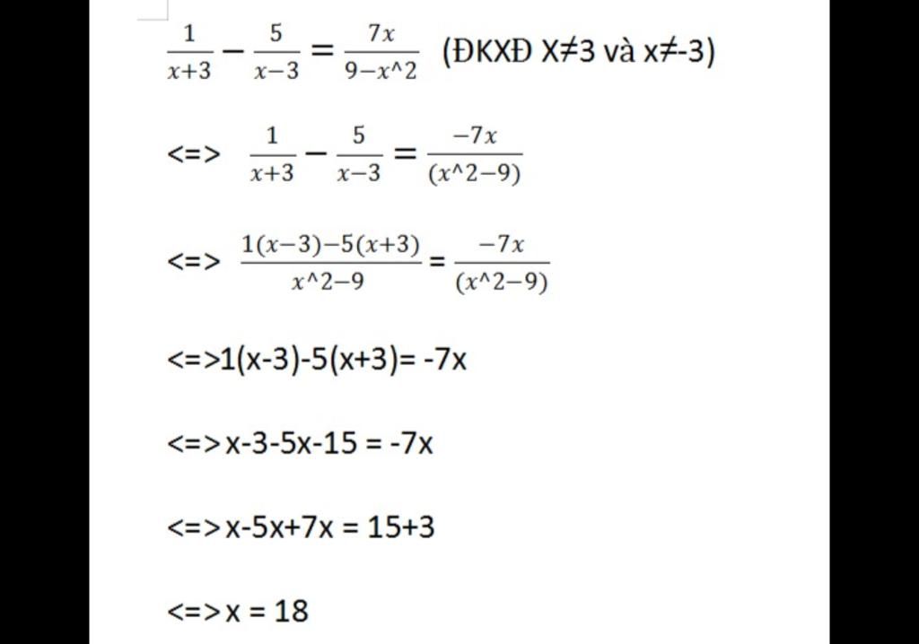
Đáp án:
x = 6
Giải thích các bước giải:
Bước cuối cùng: 3x = 18 <=> x = 6
(Khi bỏ mẫu, bạn dùng dấu =>, không dùng dấu <=> nhé!)
Hãy giúp mọi người biết câu trả lời này thế nào?

Bảng tin