Vui lòng chỉ chọn một câu hỏi
Hoidap247.com Nhanh chóng, chính xác
+
Danh mục mới
1
1871
0
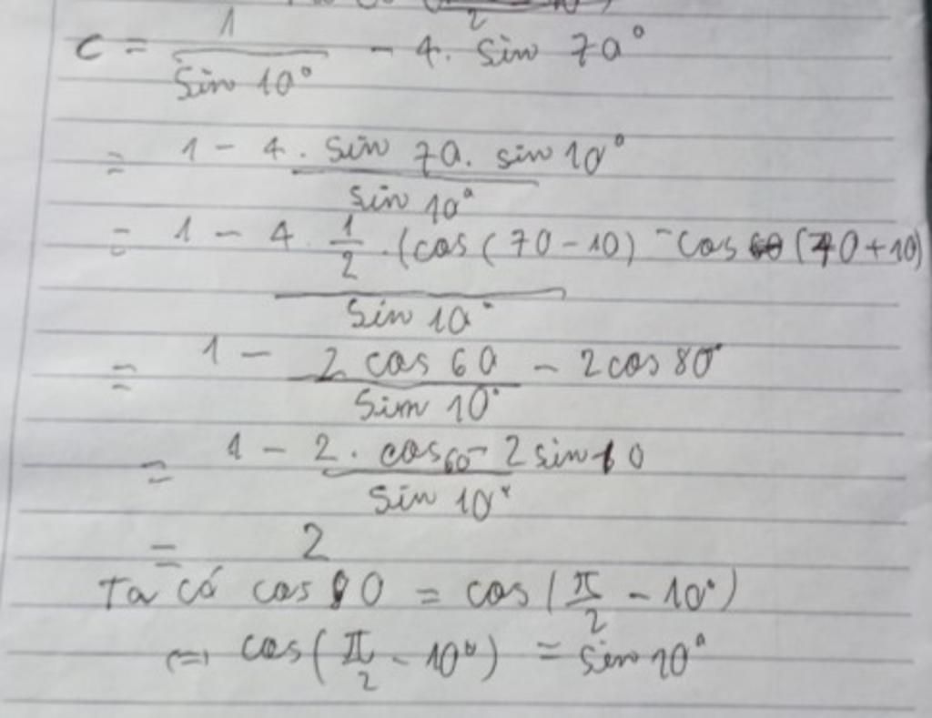
Tính:
C = 1/sin10° - 4.sin70°
Hãy luôn nhớ cảm ơn và vote 5* nếu câu trả lời hữu ích nhé!
171
5932
79
Đáp án:
Giải thích các bước giải:
đây nhé bro
Hãy giúp mọi người biết câu trả lời này thế nào?
2248
1457
860
mod nào đây =)))
Đáp án+Giải thích các bước giải: chữ hơi xấu =)))
Bảng tin
Gửi yêu cầu Hủy
2248
1457
860
mod nào đây =)))