Đăng nhập để hỏi chi tiết


Hãy luôn nhớ cảm ơn và vote 5*
nếu câu trả lời hữu ích nhé!
Đáp án:
Giải thích các bước giải:
Đặt BM = x (0<x<a/2)
Ta có: MN = a – 2x; QM = BM.tan B =x √3
Diện tích hình chữ nhật MNPQ là:
S(x)=QM.MN=x (a-2x)
S(x)=√3(ax-2)
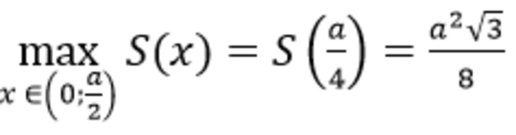
Bài toán trở thành tìm giá trị lớn nhất của S(x) trên khoảng (0; a/2)
Ta có S' (x)=√3 (a-4x);S' (x)=0 <=> x=a/4
S đạt giá trị lớn nhất tại x=a/4 và giá trị lớn nhất của diện tích hình chữ nhât MNQP là:
Hãy giúp mọi người biết câu trả lời này thế nào?

Bảng tin