

Hãy luôn nhớ cảm ơn và vote 5*
nếu câu trả lời hữu ích nhé!
Đáp án+ Giải thích các bước giải:
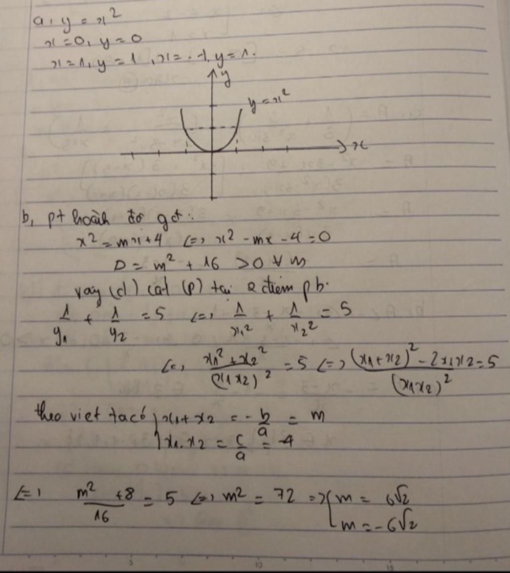
`a,`Lập bảng:
\begin{array}{|c|c|c|}\hline \text{$x$}&\text{-2}&\text{-1}&\text{0}&\text{1}&\text{2}\\\hline \text{$y$}&\text{4}&\text{1}&\text{0}&\text{1}&\text{4}\\\hline\end{array}
Hình ảnh
`b,`Phương trình hoành độ giao điểm $(P)$ và $(d)$ là:
`x^2 = mx + 4`
`<=> x^2 -mx -4 = 0 (⊕)`
`\Delta = (-m)^2 + 4.4 = m^2 + 16 > 0 (m^2 \ge 0 AA m) => \Delta > 0`
`=> (P) luôn ∩ (d)` tại 2 điểm phân biệt
`=> x_1; x_2` là nghiệm phương trình `⊕`. Áp dụng $Vi-ét$:
`{(x_1 + x_2 = m),(x_1 x_2 = -4):}`
Vì: `y_1 = x_1^2 ; y_2 = x_2^2`
`=> y_1 + y_2 = x_1^2 + x_2^2 = (x_1 + x_2)^2 -2x_1x_2`
Theo đầu bài:
`1/{y_1} + 1/{y_2} = 5`
`=> y_2 + y_1 = 5y_1 y_2`
`<=> (x_1 + x_2)^2 -2x_1x_2 = 5x_1^2 x_2^2`
`<=> (x_1 + x_2)^2 -2x_1x_2 = 5(x_1 x_2)^2`
`<=> m^2 - 2.(-4) = 5.(-4)^2`
`<=> m^2 + 8 = 80`
`<=> m^2 = 72`
`<=> m = +- \sqrt{72} = +- 6\sqrt{2}`
Vậy: `m \in { +- 6\sqrt{2}}` thì thỏa mãn.
Hãy giúp mọi người biết câu trả lời này thế nào?
![]()
Đáp án:
Giải thích các bước giải:
của bn đây nha
@ngockhanhtranthi
Hãy giúp mọi người biết câu trả lời này thế nào?
![]()
Bảng tin
0
108
0
sky gì nói rõ đi
1726
5585
2591
skype
0
108
0
bye
1726
5585
2591
;-;? hã
0
108
0
ê sao y = x^2 vậy tui ko hiểu
1726
5585
2591
`?`
0
108
0
hỏi chấm j bn giải mà
2182
4749
2279
thì đề cho hàm số: $y = x^2$ mà bạn!