

Hãy luôn nhớ cảm ơn và vote 5*
nếu câu trả lời hữu ích nhé!

Đây là câu trả lời đã được xác thực
Câu trả lời được xác thực chứa thông tin chính xác và đáng tin cậy, được xác nhận hoặc trả lời bởi các chuyên gia, giáo viên hàng đầu của chúng tôi.
Giải thích các bước giải:
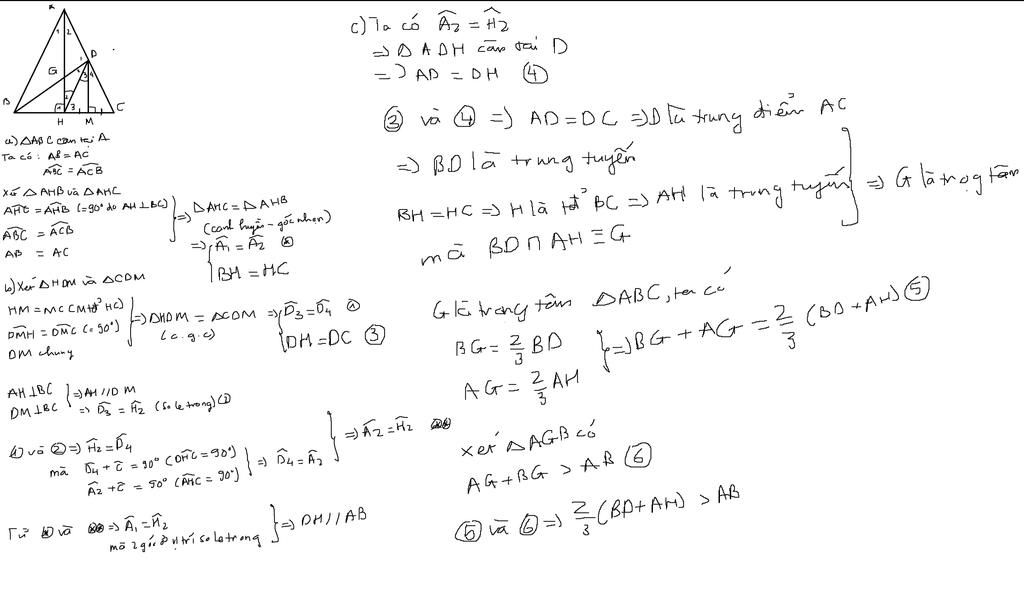
a.Xét $\Delta AHB,\Delta AHC$ có:
Chung $AH$
$\widehat{AHB}=\widehat{AHC}(=90^o)$
$AB=AC$
$\to \Delta AHB=\Delta AHC$(cạnh huyền-cạnh góc vuông)
b.Xét $\Delta DMH,\Delta DMC$ có:
Chung $DM$
$\widehat{DMH}=\widehat{DMC}(=90^o)$
$MH=MC$
$\to \Delta DMH=\Delta DMC(c.g.c)$
$\to DH=DC$
$\to \Delta DHC$ cân tại $D$
$\to \widehat{DHC}=\hat C=\hat B$
Vì $\widehat{DHC},\hat B$ đồng vị
$\to DH//AB$
c.Từ a $\to \widehat{HAC}=\widehat{HAB}$
Vì $DH//AB$
$\to \widehat{DAH}=\widehat{HAC}=\widehat{HAB}=\widehat{AHD}$
$\to \Delta DAH$ cân tại $D\to DA=DH$
Mà $DH=DC$
$\to DA=DC$
$\to D$ là trung điểm $AC$
Lại có: $HB=HC\to H$ là trung điểm $BC$
$AH\cap BD=G$
$\to G$ là trọng tâm $\Delta ABC$
$\to \dfrac23(AH+BD)=\dfrac23AH+\dfrac23BD=GA+GB>AB$
Hãy giúp mọi người biết câu trả lời này thế nào?
Bảng tin