

Hãy luôn nhớ cảm ơn và vote 5*
nếu câu trả lời hữu ích nhé!
Đáp án `+` Giải thích các bước giải:
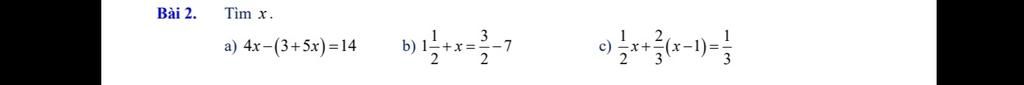
` a) 4x - ( 3 + 5x ) = 14`
`4x - 3 - 5x = 14`
`-1x = 14 + 3`
`-1x = 17`
`x = 17 : ( -1 )`
`x = -17`
Vậy `x = -17`
`b) 1 1/2 + x = 3/2 - 7`
`3/2 + x = 3/2 - 7`
`x = 3/2 - 7 - 3/2`
`x = 0 - 7`
`x = -7`
Vậy `x = -7`
`c) 1/2x + 2/3( x - 1 ) = 1/3`
`1/2x + 2/3x - 2/3 = 1/3`
`x( 1/2 + 2/3 ) = 1/3 + 2/3`
`x( 3/6 + 4/6 ) = 1`
`7/6x = 1`
`x = 1 : 7/6`
`x = 1. 6/7`
`x = 6/7`
Vậy `x = 6/7`
`#Vic`
Hãy giúp mọi người biết câu trả lời này thế nào?
![]()
`a) 4x – (3 + 5x) = 14`
`4x – 3 – 5x = 14`
`(4x – 5x) -3 = 14`
`-x – 3 = 14`
`-x = 14 + 3`
`-x = 17`
`x = -17`
Vậy `x = -17`
`b)1 1/ 2 + x = 3/2 – 7`
`3/2 + x = -11/2`
`x = -11/2 – 3/2`
`x = -7`
Vậy `x = -7`
`c) 1/ 2 + 2/3 (x-1) =1/3`
`2/3 (x-1) = 1/3 – 1/ 2`
`2/3 (x-1) = -1/6`
`x-1 = -1/6 : 2/3`
`x – 1 = -1/4`
`x = -1/4 + 1`
`x = 3/4`
Vậy `x = 3/ 4`
Hãy giúp mọi người biết câu trả lời này thế nào?
Bảng tin
0
99
0
Thank bn