Đăng nhập để hỏi chi tiết


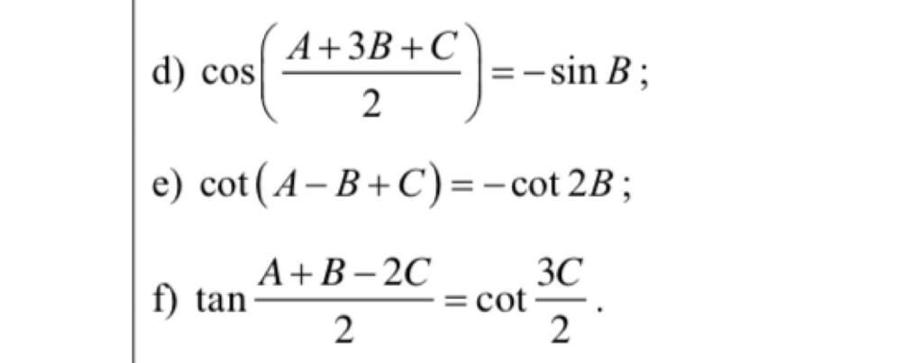
Chứng minh rằng nếu A,B,C là ba góc của một tam giác thì:
Hãy luôn nhớ cảm ơn và vote 5*
nếu câu trả lời hữu ích nhé!
Đáp án:
xem hình
Giải thích các bước giải:
Áp dụng `A+B+C=pi`
⇒`A+B=pi-C`
`A+C=pi-B`
Thêm các công thức ở trang `147 sgk` đại số `10`
Hãy giúp mọi người biết câu trả lời này thế nào?
![]()
Bảng tin