Hãy luôn nhớ cảm ơn và vote 5*
nếu câu trả lời hữu ích nhé!
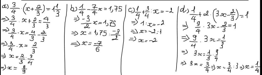
`a)` `3/4` . (`x`+`2/3`) = `1``1/3`
`3/4` . (`x`+`2/3`) = `4/3`
`3/4` . `x` = `4/3` - `2/3`
`3/4` . `x` = `2/3`
`x` = `2/3` : `3/4`
`x` = `2/3` . `4/3`
`x` = `8/9`
`b)` `1/4` - `7/4``x` = `1,75`
`1/4` - `7/4``x` = `7/4`
`-3/2``x` = `7/4`
`x` = `7/4` : `-3/2`
`x` = `-7/6`
`c)` `1/4` + `3/4` : `x` = `-2`
`1` : `x` = `-2`
`x` = `-2` : `1`
`x` = `-2`
`d)` `1/4` + `2` . (`3``x` - `2/3`) = `1`
`9/4` . `3``x` - `2/3` = `1`
`9/4` . `3``x` = `1` - `2/3`
`9/4` . `3``x` = `1/3`
`3``x` = `1/3` . `9/4`
`3``x` = `3/4`
`x` = `3/4` : `3`
`x` = `1/4`
Chúc bạn học tốt
#phungquochung
Hãy giúp mọi người biết câu trả lời này thế nào?
Bảng tin