Đăng nhập để hỏi chi tiết


Hãy luôn nhớ cảm ơn và vote 5*
nếu câu trả lời hữu ích nhé!
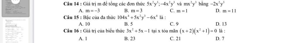
Đáp án:
`14;A`
`16A`
Giải thích các bước giải:
xem hình
Hãy giúp mọi người biết câu trả lời này thế nào?


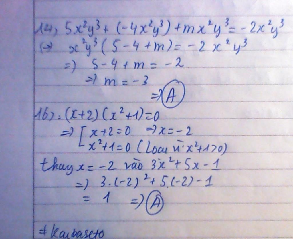
Đáp án:
Câu 14 :`A`
Câu 16 :`A`
Giải thích các bước giải:
Câu 14 :
`5x^2y^3-4x^2y^3+mx^2y^3=-2x^2y^3`
`⇔x^2y^3(5-4+m)=-2x^2y^3`
`⇔1+m=-2`
`⇔m=-3`
Câu 16 :
`(x+2)(x^2+1)=0`
`⇒x+2=0` (vì `x^2+1>0` với mọi `x`)
`⇔x=-2`
Thay `x=-2` vào `3x^2+5x-1` ta được :
`3.(-2)^2+5.(-2)-1=1`
Hãy giúp mọi người biết câu trả lời này thế nào?

Bảng tin