Đăng nhập để hỏi chi tiết


Hãy luôn nhớ cảm ơn và vote 5*
nếu câu trả lời hữu ích nhé!
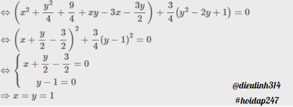
`<=>` `(` `x^2` `+` `y^2/4` `+` `9/4` `+` `xy` `-` `3x` `-` `3y/2` `)` `+` `3/4` `( y^2 - 2y + 1 )` `=` `0`
`<=>` `( x + y^2 - 3/2 )^2` `+` `3/4` `( y - 1 )^2` `= 0`
`<=>` `{(x + y/2 - 3/2 = 0),(y - 1 = 0):}`
`=>` `x` `=` `y` `=` `1`
$\#phamlambang2010$
Hãy giúp mọi người biết câu trả lời này thế nào?
Bảng tin
145
5918
175
bn tự lm à
25
972
26
umm