Vui lòng chỉ chọn một câu hỏi
Hoidap247.com Nhanh chóng, chính xác
+
Danh mục mới
0
30
Hãy luôn nhớ cảm ơn và vote 5* nếu câu trả lời hữu ích nhé!
23
1340
13
full sao nhé
Hãy giúp mọi người biết câu trả lời này thế nào?
Xem thêm:
1360
22396
1067
#Lệday
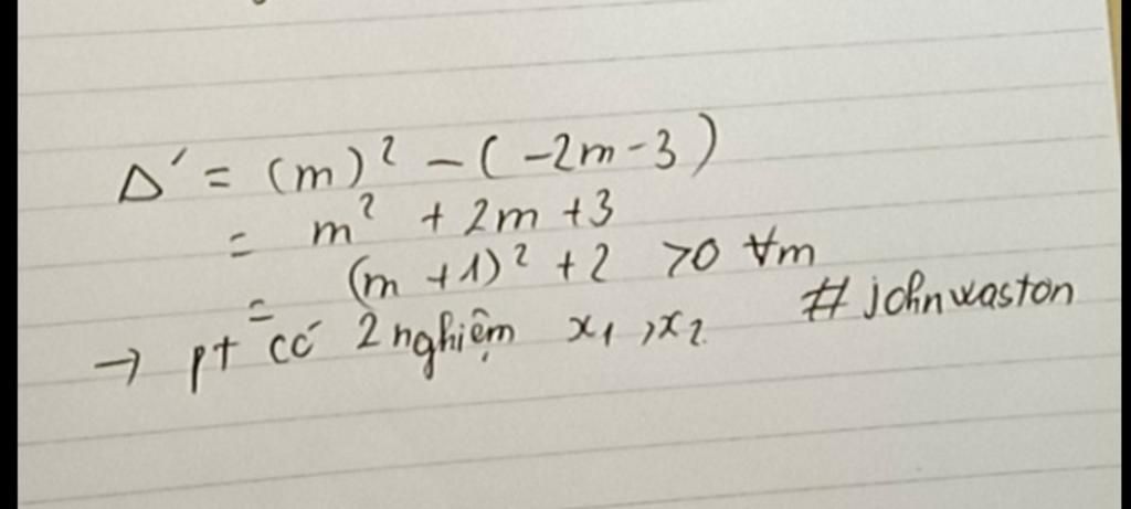
Bài làm
Chúc bạn học tốt
Bảng tin
Gửi yêu cầu Hủy