

Hãy luôn nhớ cảm ơn và vote 5*
nếu câu trả lời hữu ích nhé!
Đáp án:
Nghiệm của BPT là : `x<13/38`
Giải thích các bước giải:
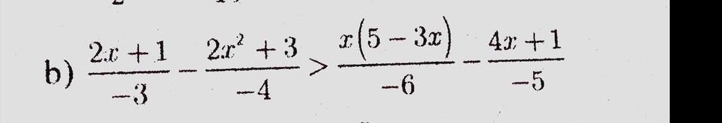
`(2x+1)/-3-(2x^2+3)/-4>[x(5-3x)]/-6-(4x+1)/-5`
`<=>[-20(2x+1)]/60-[-15(2x^2+3)]/60>[-10x(5-3x)]/60-[-12(4x+1)]/60`
`=>-20(2x+1)+15(2x^2+3)> -10x(5-3x)+12(4x+1)`
`<=>-40x-20+30x^2+45 > -50x+30x^2+48x+12`
`<=>-40x+30x^2+50x-30x^2-48x > 12+20-45`
`<=>-38x > -13`
`<=>x<13/38`
`to` Vậy nghiệm của BPT là : `x<13/38`
Hãy giúp mọi người biết câu trả lời này thế nào?
Đáp án `+` giải thích các bước giải
`(2x + 1)/- 3 - (2x ^ 2 + 3)/- 4 > (x(5 - 3x))/- 6 - (4x + 1)/- 5`
`<=>- (2x + 1)/3 + (2x ^ 2 + 3)/4 > (5x - 3x ^ 2)/- 6 + (4x + 1)/5`
`<=>- (2x + 1)/3 + (2x ^ 2 + 3)/4 > - (5x - 3x ^ 2)/6 + (4x + 1)/5`
`<=>- 20(2x + 1) + 15(2x ^ 2 + 3) > - 10(5x - 3x ^ 2) + 12(4x + 1)`
`<=>- 40x - 20 + 30x ^ 2 + 45 > - 50x + 30x ^ 2 + 48x + 12`
`<=>- 40x - 20 + 45 > - 50x + 48x + 12`
`<=>- 40x + 25 > - 2x + 12`
`<=>- 40x + 2x > 12 - 25`
`<=>- 38x > - 13`
`<=>x < 13/38`
Vậy `S={x|x< 13/ 38}`
$@Vodien$
Hãy giúp mọi người biết câu trả lời này thế nào?

Bảng tin