Đăng nhập để hỏi chi tiết


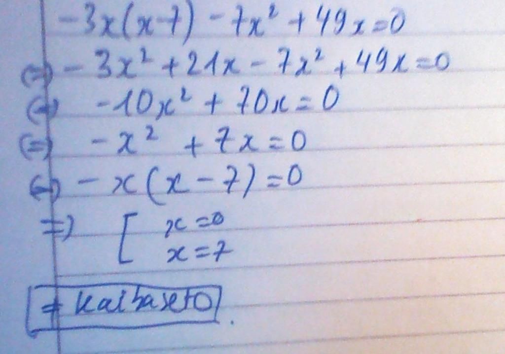
1) -3x(x-7)-7x^2+49x=0
Hãy luôn nhớ cảm ơn và vote 5*
nếu câu trả lời hữu ích nhé!
Đáp án + Giải thích các bước giải:
`1.`
`-3x(x-7)-7x^2+49x=0`
`⇔-3x(x-7)-7x(x-7)=0`
`⇔(x-7)(-3x-7x)=0`
`⇔-10x(x-7)=0`
$⇔\left[\begin{matrix} -10x=0\\ x-7=0\end{matrix}\right.$
$⇔\left[\begin{matrix} x=0\\ x=7\end{matrix}\right.$
Vậy `S={0;7}`
Hãy giúp mọi người biết câu trả lời này thế nào?
![]()
Bảng tin